【药物名称】DP-543, DMP-543, XR-543
化学结构式(Chemical Structure):
参考文献No.478942
标题:2-Fluoro-4-pyridinylmethyl analogues of linopirdine as orally active acetylcholine release-enhancing agents with good efficacy and duration of action
作者:Earl, R.A.; Zaczek, R.; Teleha, C.A.; Fisher, B.N.; Maciag, C.M.; Marynowski, M.E.; Logue, A.R.; Tam, S.W.; Tinker, W.J.; Huang, S.M.; Chorvat, R.J.
来源:J Med Chem 1998,41(23),4615
合成路线图解说明:

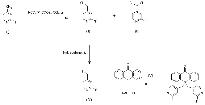
Chlorination of 2-fluoro-4-picoline (I) with N-chlorosuccinimide in the presence of benzoyl peroxide furnished a 3:1:1 mixture of chloromethyl- (II), and dichloromethylpyridine (III) along with some unreacted starting material. Treatment of this mixture with NaI in refluxing acetone converted (II) into the iodomethyl compound (IV), but (I) and (III) remained unreacted. Then, the dialkylation of anthrone (V) in the presence of NaH in THF afforded the title compound, which was purified by column chromatography.

参考文献No.603229
标题:Efficient pyridinylmethyl functionalization: Synthesis of 10,10-bis[2-fluoro-4-pyridinyl)methyl]-9(10H)-anthracenone (DMP 543), an acetylcholine release enhancing agent
作者:Pesti, J.A.; Huhn, G.F.; Yin, J.; Xing, Y.; Fortunak, J.M.; Earl, R.A.
来源:J Org Chem 2000,65(23),7718
合成路线图解说明:

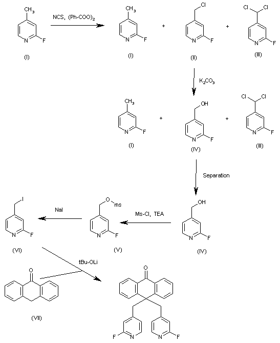
The radical chlorination of 2-fluoro-4-methylpyridine (I) with NCS, benzoyl peroxide and acetic acid in refluxing acetonitrile gives a mixture of the starting material (I) and its mono (II) and dichloro (III) derivatives. This mixture of (I), (II) and (III) was treated with refluxing aqueous K2CO3 , which selectively hydrolyzes the monochloro derivative (II) to afford 2-fluoro-4-(hydroxymethyl)pyridine (IV). The compound (IV), which is easily separated from unreacted (I) and dichloro compound (III), is treated with methanesulfonyl chloride and TEA in ethyl acetate to provide the corresponding mesylate (V). The reaction of (V) with NaI in THF gives 2-fluoro-4-(iodomethyl)pyridine (VI), which is finally condensed with anthrone (VII) by means of lithium tert-butoxide in THF.

Drug Information Express,Drug R&D,Chemical Database,Patent Search.
Copyright © 2006-2026 Drug Future. All rights reserved.Contact Us