【药物名称】EMD-57439((-)-enantiomer), EMD-53998(racemate), EMD-57033
化学结构式(Chemical Structure):
参考文献No.9528
标题:Thiadiazinones
作者:Jonas, R.; Piulats, J.; Lues, I.; Klockow, M. (Merck Patent GmbH)
来源:AU 8816646; DE 3719031; DE 3744149; EP 0294647; JP 1988310886; US 4916128
合成路线图解说明:

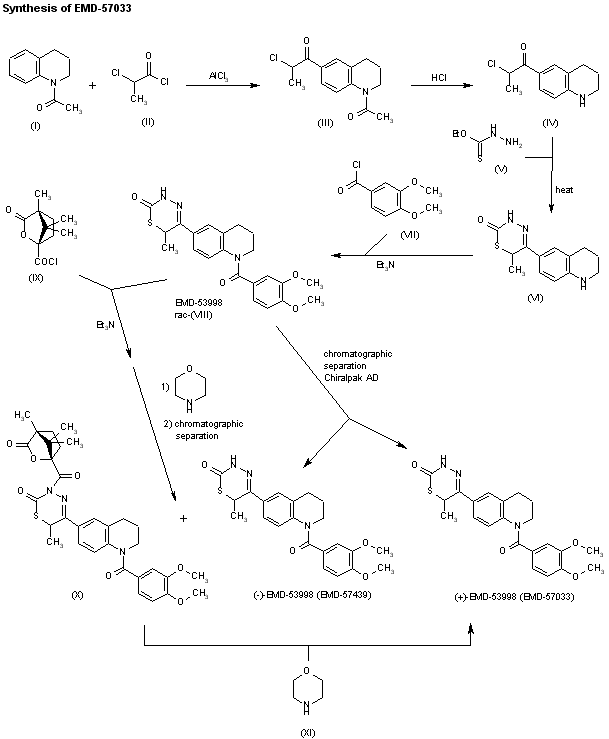
Acylation of 1-acetyl-1,2,3,4-tetrahydroquinoline (I) with 2-chloropropionyl chloride (II) by means of AlCl3 provides the quinoline derivative (III), which is deacetylated by treatment with HCl to give 1,2,3,4-tetrahydro-6-(2-chloropropionyl)quinoline (IV). Condensation of compound (IV) with O-ethyl hydrazinethioformate (V) in refluxing acetonitrile yields the thiadiazinone (VI), which is then N-acylated at the quinoline ring with 3,4-dimethoxybenzoyl chloride (VII) by means of Et3N in methylene chloride to give the racemate EMD-53998 [rac-(VIII)]. Optical resolution of EMD-53998 can be performed by two different ways: a) enantioseparation via chromatography with Chiralpak AD in 100% EtOH as eluent and b) acylation of EMD-53998 with (S)-camphanoyl chloride (IX) by means of Et3N in methylene chloride followed by treatment with morpholine in the same solvent to afford a mixture of (?-EMD-53998 (EMD-57439) and the camphanoyl amide (X), which are separated by chromatography. Finally, the (+)-enantiomer, EMD-57033, is isolated by further treatment of amide (X) with morpholine in methylene chloride.

参考文献No.187087
标题:Preparation of the enantiomers of the novel Ca-sensitizer EMD 53 998
作者:Klockow, M.; Lues, I.; Jonas, R.
来源:Bioorg Med Chem Lett 1992,2(6),589
合成路线图解说明:

Acylation of 1-acetyl-1,2,3,4-tetrahydroquinoline (I) with 2-chloropropionyl chloride (II) by means of AlCl3 provides the quinoline derivative (III), which is deacetylated by treatment with HCl to give 1,2,3,4-tetrahydro-6-(2-chloropropionyl)quinoline (IV). Condensation of compound (IV) with O-ethyl hydrazinethioformate (V) in refluxing acetonitrile yields the thiadiazinone (VI), which is then N-acylated at the quinoline ring with 3,4-dimethoxybenzoyl chloride (VII) by means of Et3N in methylene chloride to give the racemate EMD-53998 [rac-(VIII)]. Optical resolution of EMD-53998 can be performed by two different ways: a) enantioseparation via chromatography with Chiralpak AD in 100% EtOH as eluent and b) acylation of EMD-53998 with (S)-camphanoyl chloride (IX) by means of Et3N in methylene chloride followed by treatment with morpholine in the same solvent to afford a mixture of (?-EMD-53998 (EMD-57439) and the camphanoyl amide (X), which are separated by chromatography. Finally, the (+)-enantiomer, EMD-57033, is isolated by further treatment of amide (X) with morpholine in methylene chloride.

参考文献No.652651
标题:EMD-57033
作者:Casta馿r, J.; Doggrell, S.A.; Brown, L.
来源:Drugs Fut 2002,27(1),14
合成路线图解说明:

Acylation of 1-acetyl-1,2,3,4-tetrahydroquinoline (I) with 2-chloropropionyl chloride (II) by means of AlCl3 provides the quinoline derivative (III), which is deacetylated by treatment with HCl to give 1,2,3,4-tetrahydro-6-(2-chloropropionyl)quinoline (IV). Condensation of compound (IV) with O-ethyl hydrazinethioformate (V) in refluxing acetonitrile yields the thiadiazinone (VI), which is then N-acylated at the quinoline ring with 3,4-dimethoxybenzoyl chloride (VII) by means of Et3N in methylene chloride to give the racemate EMD-53998 [rac-(VIII)]. Optical resolution of EMD-53998 can be performed by two different ways: a) enantioseparation via chromatography with Chiralpak AD in 100% EtOH as eluent and b) acylation of EMD-53998 with (S)-camphanoyl chloride (IX) by means of Et3N in methylene chloride followed by treatment with morpholine in the same solvent to afford a mixture of (?-EMD-53998 (EMD-57439) and the camphanoyl amide (X), which are separated by chromatography. Finally, the (+)-enantiomer, EMD-57033, is isolated by further treatment of amide (X) with morpholine in methylene chloride.

参考文献No.652761
标题:Design, optimization, and operation of SMB chromatography in the production of enantiomerically pure pharmaceuticals
作者:Strube, J.; Jupke, A.; Schmidt-Traub, H.; Schulte, M.; Epping, A.; Devant, R.
来源:Chirality 1999,11440
合成路线图解说明:

Acylation of 1-acetyl-1,2,3,4-tetrahydroquinoline (I) with 2-chloropropionyl chloride (II) by means of AlCl3 provides the quinoline derivative (III), which is deacetylated by treatment with HCl to give 1,2,3,4-tetrahydro-6-(2-chloropropionyl)quinoline (IV). Condensation of compound (IV) with O-ethyl hydrazinethioformate (V) in refluxing acetonitrile yields the thiadiazinone (VI), which is then N-acylated at the quinoline ring with 3,4-dimethoxybenzoyl chloride (VII) by means of Et3N in methylene chloride to give the racemate EMD-53998 [rac-(VIII)]. Optical resolution of EMD-53998 can be performed by two different ways: a) enantioseparation via chromatography with Chiralpak AD in 100% EtOH as eluent and b) acylation of EMD-53998 with (S)-camphanoyl chloride (IX) by means of Et3N in methylene chloride followed by treatment with morpholine in the same solvent to afford a mixture of (?-EMD-53998 (EMD-57439) and the camphanoyl amide (X), which are separated by chromatography. Finally, the (+)-enantiomer, EMD-57033, is isolated by further treatment of amide (X) with morpholine in methylene chloride.

Drug Information Express,Drug R&D,Chemical Database,Patent Search.
Copyright © 2006-2026 Drug Future. All rights reserved.Contact Us