【药物名称】Rizatriptan benzoate, MK-462, MK-0462, Maxalt-MLT, Maxalt
化学结构式(Chemical Structure):
参考文献No.19203
标题:Imidazole, triazole and tetrazole derivs
作者:Baker, R.; Matassa, V.G.; Street, L.J. (Merck Sharp & Dohme Ltd.)
来源:EP 0497512; EP 0778275; US 5298520; US 5451588; US 5602162; US 5602163
合成路线图解说明:

2) The condensation of 4-nitrobenzyl bromide (VI) with 1,2,4-triazole sodium salt (VII) in DMF gives 1-(4-nitrobenzyl)-1,2,4-triazole (VIII), which is reduced with H2 over Pd/C in ethanol/ethyl acetate yielding the aniline (I). The diazotization of (I) with NaNO2/HCl followed by reduction with SnCl2 affords the corresponding hydrazine (IX), which is cyclized with 4-chlorobutanal dimethylacetal (X) by means of HCl in refluxing ethanol/water to afford 2-[5-(1,2,4-triazol-1-ylmethyl)-1H-indol-3-yl] ethylamine (XI). Finally, this amine is methylated with formaldehyde, sodium cyanoborohydride and acetic acid in methanol.

参考文献No.22359
标题:The sulphate salt of a substd. triazole, pharmaceutical compsns. thereof, and their use in therapy
作者:Baker, R.; Pitt, K.G.; Matassa, V.G.; Storey, D.E.; Olive, C.; Street, L.J. (Merck Sharp & Dohme Ltd.)
来源:EP 0573221; US 5527817; WO 9325547
合成路线图解说明:

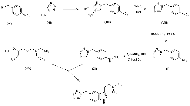
3) The condensation of 4-nitrobenzyl bromide (VI) with 4-amino-1,2,4-triazole (XII) in refluxing isopropanol gives 4-amino-1-(3-nitrobenzyl)-1,2,4-triazolium bromide (XIII), which is deaminated with NaNO2/HCl to afford 1-(4-nitrobenzyl)-1,2,4-triazole (VIII). The reduction of (VIII) yields amine (I), which by diazotation and reduction with Na2SO3 yields the corresponding hydrazine (IX). Finally, (IX) is cyclized with 4-(dimethylamino)butanal dimethylacetal (XIV) in acidic water.

参考文献No.286891
标题:Synthesis of the 5-HT1D receptor agonist MK-0462 via a Pd-catalyzed coupling reaction
作者:Lieberman, D.R.; Reamer, R.A.; Reider, P.J.; Cottrell, I.F.; Chen, C.-Y.; Verhoeven, T.R.; Larsen, R.D.; Houghton, P.G.
来源:Tetrahedron Lett 1994,35(38),6981-4
合成路线图解说明:

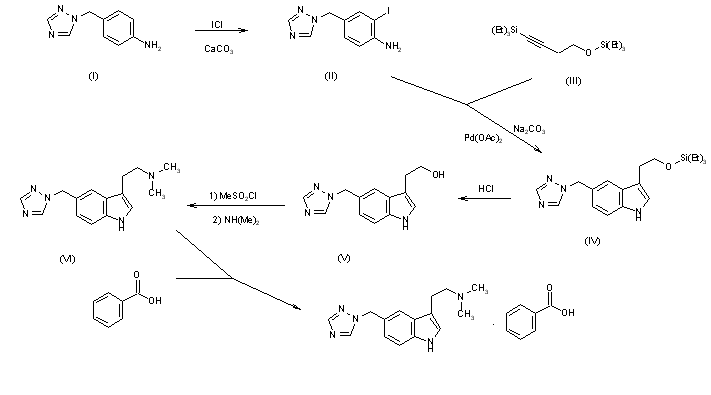
1) The iodination of 4-(1,2,4-triazol-1-ylmethyl)aniline (I) with ICl and CaCO3 in methanol/water gives the 2-iodoaniline (II), which is cyclized with 1-(triethylsilyl)-4-(triethylsilyloxy)-1-butyne (III) by means of paladium acetate and Na2CO3 in hot DMF yielding 5-(1,2,4-triazol-1-ylmethyl)-3-[2-(triethylsilyloxy)ethyl]-1H-indole (IV). The desilylation of (IV) with HCl in methanol affords the corresponding alcohol (V), which is condensed with dimethylamine by means of methanesulfonyl chloride and triethylamine to give MK-0462 free base (VI). Finally, this compound is treated with benzoic acid in isopropyl alcohol/isopropyl acetate solution.

参考文献No.306905
标题:MK-0462
作者:Casta馿r, J.; Mealy, N.; Rabassseda, X.
来源:Drugs Fut 1995,20(7),676
合成路线图解说明:

1) The iodination of 4-(1,2,4-triazol-1-ylmethyl)aniline (I) with ICl and CaCO3 in methanol/water gives the 2-iodoaniline (II), which is cyclized with 1-(triethylsilyl)-4-(triethylsilyloxy)-1-butyne (III) by means of paladium acetate and Na2CO3 in hot DMF yielding 5-(1,2,4-triazol-1-ylmethyl)-3-[2-(triethylsilyloxy)ethyl]-1H-indole (IV). The desilylation of (IV) with HCl in methanol affords the corresponding alcohol (V), which is condensed with dimethylamine by means of methanesulfonyl chloride and triethylamine to give MK-0462 free base (VI). Finally, this compound is treated with benzoic acid in isopropyl alcohol/isopropyl acetate solution.

合成路线图解说明:

2) The condensation of 4-nitrobenzyl bromide (VI) with 1,2,4-triazole sodium salt (VII) in DMF gives 1-(4-nitrobenzyl)-1,2,4-triazole (VIII), which is reduced with H2 over Pd/C in ethanol/ethyl acetate yielding the aniline (I). The diazotization of (I) with NaNO2/HCl followed by reduction with SnCl2 affords the corresponding hydrazine (IX), which is cyclized with 4-chlorobutanal dimethylacetal (X) by means of HCl in refluxing ethanol/water to afford 2-[5-(1,2,4-triazol-1-ylmethyl)-1H-indol-3-yl] ethylamine (XI). Finally, this amine is methylated with formaldehyde, sodium cyanoborohydride and acetic acid in methanol.

合成路线图解说明:

3) The condensation of 4-nitrobenzyl bromide (VI) with 4-amino-1,2,4-triazole (XII) in refluxing isopropanol gives 4-amino-1-(3-nitrobenzyl)-1,2,4-triazolium bromide (XIII), which is deaminated with NaNO2/HCl to afford 1-(4-nitrobenzyl)-1,2,4-triazole (VIII). The reduction of (VIII) yields amine (I), which by diazotation and reduction with Na2SO3 yields the corresponding hydrazine (IX). Finally, (IX) is cyclized with 4-(dimethylamino)butanal dimethylacetal (XIV) in acidic water.

Drug Information Express,Drug R&D,Chemical Database,Patent Search.
Copyright © 2006-2026 Drug Future. All rights reserved.Contact Us