【药物名称】Motexafin gadolinium, Gadolinium texaphyrin, PCI-0120, GdT2B2, Gd-Tex, Xcytrin
化学结构式(Chemical Structure):
参考文献No.55004
标题:Texaphyrin metal complex mediated ester hydrolysis
作者:Sessler, J.L.; Hemmi, G.W.; Magda, D.; Miller, R.A.; Ross, K.L.; Wright, M.; Dow, W.C.; Smith, D.A.; Kr醠, V.A.; Iverson, B.; Mody, T. (University of Texas System)
来源:WO 9429316
合成路线图解说明:

The condensation of 3-[2-(acetoxymethyl)-5-(benzyloxycarbonyl)-4-methyl-1H-pyrrol-3-yl]propionic acid methyl ester (VII) with 3,4-diethyl-1H-pyrrole (VIII) by means of Ts-OH in ethanol gives the bis adduct (IX). The reduction of both methoxycarbonyl groups of (IX) with borane/THF complex yields bis-propanol derivative (X), which is debenzylated by hydrogenation with H2 and TEA over Pd/C in THF to afford the dicarboxylic acid (XI). The reduction of (XI) with TFA, triethyl orthoformate and LiOH in methanol/water provides the dialdehyde (XII), which is cyclized with the intermediate phenylenediamine (VI) by means of HCl in methanol to give the pentacyclic compound (XIII).

参考文献No.55005
标题:Radiation sensitization using texaphyrins
作者:Sessler, J.L.; Miller, R.A.; Harriman, A.M. (Pharmacyclics, Inc.; University of Texas System)
来源:US 5622946
合成路线图解说明:

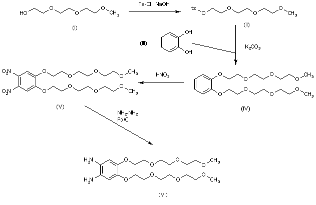
The intermediate phenylenediamine derivative (VI) has been obtained as follows: The reaction of 2-[2-(2-methoxyethoxy)ethoxy]ethanol (I) with Ts-Cl and NaOH in THF/water gives the tosylate (II), which is condensed with pyrocatechol (III) by means of K2CO3 in methanol, yielding the aryl ether (IV). The nitration of (IV) with HNO3 in acetic acid affords the dinitro derivative (V), which is finally reduced to the target phenylenediamine intermediate (VI) with hydrazine in ethanol catalyzed by Pd/C.

合成路线图解说明:

The condensation of 3-[2-(acetoxymethyl)-5-(benzyloxycarbonyl)-4-methyl-1H-pyrrol-3-yl]propionic acid methyl ester (VII) with 3,4-diethyl-1H-pyrrole (VIII) by means of Ts-OH in ethanol gives the bis adduct (IX). The reduction of both methoxycarbonyl groups of (IX) with borane/THF complex yields bis-propanol derivative (X), which is debenzylated by hydrogenation with H2 and TEA over Pd/C in THF to afford the dicarboxylic acid (XI). The reduction of (XI) with TFA, triethyl orthoformate and LiOH in methanol/water provides the dialdehyde (XII), which is cyclized with the intermediate phenylenediamine (VI) by means of HCl in methanol to give the pentacyclic compound (XIII).

合成路线图解说明:

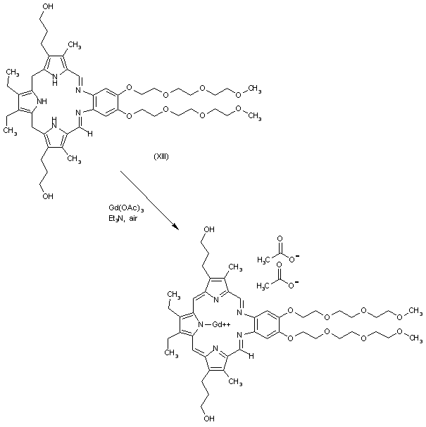
Finally, compound (XIII) is treated with gadolinium triacetate and TEA in methanol and dehydrogenated with air to furnish the target gadolinium complex.

参考文献No.286044
标题:Synthesis and structural characterization of lanthanide(III) texaphyrins
作者:Sessler, J.L.; et al.
来源:Inorg Chem 1993,32(14),3175
合成路线图解说明:

The condensation of 3-[2-(acetoxymethyl)-5-(benzyloxycarbonyl)-4-methyl-1H-pyrrol-3-yl]propionic acid methyl ester (VII) with 3,4-diethyl-1H-pyrrole (VIII) by means of Ts-OH in ethanol gives the bis adduct (IX). The reduction of both methoxycarbonyl groups of (IX) with borane/THF complex yields bis-propanol derivative (X), which is debenzylated by hydrogenation with H2 and TEA over Pd/C in THF to afford the dicarboxylic acid (XI). The reduction of (XI) with TFA, triethyl orthoformate and LiOH in methanol/water provides the dialdehyde (XII), which is cyclized with the intermediate phenylenediamine (VI) by means of HCl in methanol to give the pentacyclic compound (XIII).

Drug Information Express,Drug R&D,Chemical Database,Patent Search.
Copyright © 2006-2026 Drug Future. All rights reserved.Contact Us