【药物名称】SPD-420, BDP-12, CX-516, Ampalex
化学结构式(Chemical Structure):
参考文献No.26945
标题:Drugs that enhance synaptic responses mediated by AMPA receptors
作者:Lynch, G.S.; Rogers, G.A. (University of California, Oakland)
来源:EP 1156043; JP 1995509468; WO 9402475
合成路线图解说明:

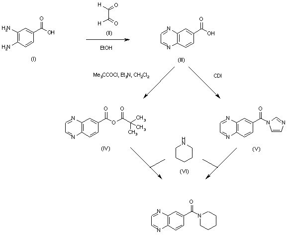
6-Quinoxalinecarboxylic acid (III) was prepared by condensation of 3,4-diaminobenzoic acid (I) with glyoxal (II). The title amide was then prepared by coupling of acid (III) with piperidine (VI) via formation of the mixed anhydride (IV) with pivaloyl chloride and Et3N or, alternatively, via activation of (III) as the imidazolide (V) by treatment with carbonyldiimidazole

Drug Information Express,Drug R&D,Chemical Database,Patent Search.
Copyright © 2006-2026 Drug Future. All rights reserved.Contact Us