【药物名称】
化学结构式(Chemical Structure):
参考文献No.25784
标题:Cephalosporins having in position 7 as substd. axymino radical, intermediates, processes for their preparation and their use as medicaments
作者:Aszodi, J.; Dini, C.; Fauveau, P. (Aventis Pharma SA)
来源:CA 2111164; EP 0628562; JP 1994345776
合成路线图解说明:

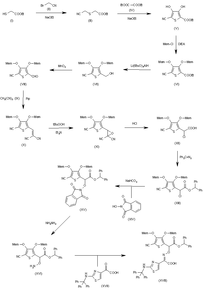
The reaction of ethyl 2-sulfanylacetate (I) with 2-bromoacetonitrile (II) by means of NaOEt in ethanol gives ethyl 2-(cyanomethylsulfanyl)acetate (III), which is cyclized with diethyl oxalate (IV) by means of NaOEt in ethanol yielding 5-cyano-3,4-dihydroxythiophene-2-carboxylic acid ethyl ester (V). The protection of the hydroxyl groups of (V) with 2-methoxyethoxymethyl chloride (Mem-Cl) and DIEA in dichloromethane affords the protected thiophene (VI), which is reduced with (t-BuO)2AlH in THF providing the carbinol (VII). The oxidation of (VII) with MnO2 in dichloromethane yields the carbaldehyde (VIII), which is condensed with malonodinitrile (IX) by means of piperidine in dioxane giving the alkylidenemalonodinitrile (X). The epoxidation of (X) with tert-butyl hydroperoxide and TEA in dioxane yields the epoxide (XI), which is treated with HCl in THF to afford 2-chloro-2-[5-cyano-3,4-bis(2-methoxyethoxymethoxy) thiophen-2-yl]acetic acid (XII). The esterification of (XII) with diphenyldiazomethane affords the corresponding diphenylmethyl ester (XIII), which is condensed with N-hydroxyphthalimide (XIV) and NaHCO3 in dichloromethane providing the adduct (XV). The cleavage of the phthalimido group of (XV) with hydrazine in methanol gives 2-(aminooxy)-2-[5-cyano-3,4-bis(2-methoxyethoxymethoxy)thiophen-2-yl]acetic acid diphenylmethyl ester (XVI), which is condensed with 2-oxo-2-[2-(tritylamino)thiazol-4-yl]acetic acid (XVII) yielding the corresponding alcoxyimino derivative (XVIII).

合成路线图解说明:

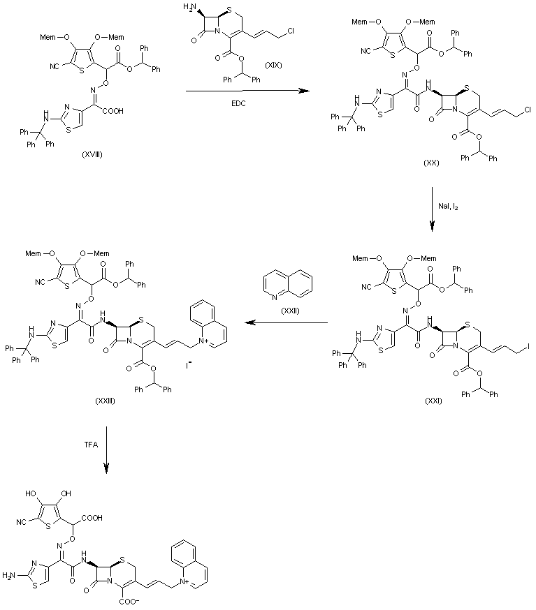
The condensation of (XVIII) with 7-beta-amino-3-(3-chloro-1(E)-propenyl)-3-cephem-4-carboxylic acid diphenylmethyl ester (XIX) affords the expected amide (XX). The halogen exchange in (XX) with I2 and NaI in acetone gives the 3-iodo-1(E)-propenyl derivative (XXI), which is treated with quinoline (XXII) in dichloromethane to provide the quinolinium salt (XXIII). Finally, this compound is fully deprotected by a treatment with TFA and anisole.

参考文献No.568773
标题:Synthesis of a dihydroxythiophene analogue of catechosporines
作者:Dini, C.; Aszodi, J.
来源:Bioorg Med Chem Lett 2000,10(4),349
合成路线图解说明:

The reaction of ethyl 2-sulfanylacetate (I) with 2-bromoacetonitrile (II) by means of NaOEt in ethanol gives ethyl 2-(cyanomethylsulfanyl)acetate (III), which is cyclized with diethyl oxalate (IV) by means of NaOEt in ethanol yielding 5-cyano-3,4-dihydroxythiophene-2-carboxylic acid ethyl ester (V). The protection of the hydroxyl groups of (V) with 2-methoxyethoxymethyl chloride (Mem-Cl) and DIEA in dichloromethane affords the protected thiophene (VI), which is reduced with (t-BuO)2AlH in THF providing the carbinol (VII). The oxidation of (VII) with MnO2 in dichloromethane yields the carbaldehyde (VIII), which is condensed with malonodinitrile (IX) by means of piperidine in dioxane giving the alkylidenemalonodinitrile (X). The epoxidation of (X) with tert-butyl hydroperoxide and TEA in dioxane yields the epoxide (XI), which is treated with HCl in THF to afford 2-chloro-2-[5-cyano-3,4-bis(2-methoxyethoxymethoxy) thiophen-2-yl]acetic acid (XII). The esterification of (XII) with diphenyldiazomethane affords the corresponding diphenylmethyl ester (XIII), which is condensed with N-hydroxyphthalimide (XIV) and NaHCO3 in dichloromethane providing the adduct (XV). The cleavage of the phthalimido group of (XV) with hydrazine in methanol gives 2-(aminooxy)-2-[5-cyano-3,4-bis(2-methoxyethoxymethoxy)thiophen-2-yl]acetic acid diphenylmethyl ester (XVI), which is condensed with 2-oxo-2-[2-(tritylamino)thiazol-4-yl]acetic acid (XVII) yielding the corresponding alcoxyimino derivative (XVIII).

合成路线图解说明:

The condensation of (XVIII) with 7-beta-amino-3-(3-chloro-1(E)-propenyl)-3-cephem-4-carboxylic acid diphenylmethyl ester (XIX) affords the expected amide (XX). The halogen exchange in (XX) with I2 and NaI in acetone gives the 3-iodo-1(E)-propenyl derivative (XXI), which is treated with quinoline (XXII) in dichloromethane to provide the quinolinium salt (XXIII). Finally, this compound is fully deprotected by a treatment with TFA and anisole.

Drug Information Express,Drug R&D,Chemical Database,Patent Search.
Copyright © 2006-2026 Drug Future. All rights reserved.Contact Us