【药物名称】4-ADMPP, ADD-213063
化学结构式(Chemical Structure):
参考文献No.560783
标题:Anticonvulsant activity and interactions with neuronal voltage-dependent sodium channel of analogues of ameltolide
作者:Vamecq, J.; Lambert, D.; Poupaert, J.H.; Masereel, B.; Stables, J.P.
来源:J Med Chem 1998,41(18),3307
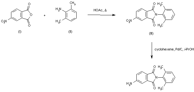
合成路线图解说明:

Phthalimide (III) was prepared by condensation of 4-nitrophthalic anhydride (I) with 2,6-dimethylaniline (II) in refluxing AcOH. Reduction of the nitro group of (II) by transfer hydrogenation using cyclohexene and Pd/C provided the title aminophthalimide.

Drug Information Express,Drug R&D,Chemical Database,Patent Search.
Copyright © 2006-2026 Drug Future. All rights reserved.Contact Us