【药物名称】Icopezil maleate, CP-118954-11, CP-118954
化学结构式(Chemical Structure):
参考文献No.324636
标题:5, 7-Dihydro-3-[2-[1-(phenylmethyl)-4-piperidinyl]ethyl]-6H-pyrrolo[3,2-f]-1,2-benzisoxaxol-6-one: A potent and centrally-selective inhibitor of acetylcholinesterase with an improved margin of safety
作者:Villalobos, A.; Butler, T.W.; Chapin, D.S.; Chen, Y.L.; DeMattos, S.B.; Ives, J.L.; Jones, S.B.; Liston, D.R.; Nagel, A.A.; Nason, D.M.; et al.
来源:J Med Chem 1995,38(15),2802
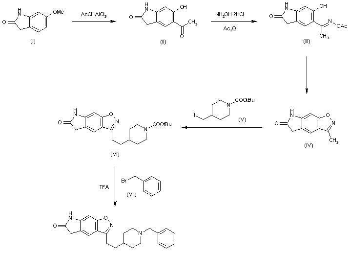
合成路线图解说明:

The Friedel Crafts condensation of 6-methoxyindolin-2-one (I) with acetyl chloride and AlCl3 gives the 5-acetyl-6-methoxyindolin-2-one (II), which is treated with hydroxylamine and acetic anhydride to yield the O-acetyloxime (III). The cyclization of (III) affords the 3-methyl-6,7-dihydro-5H-isoxazolo[4,5-f]indol-6-one (IV), which is condensed with 4-(iodomethyl)piperidine-1-carboxylic acid tert-butyl ester (V) to provide the adduct (VI). Finally this compound is deprotected with TFA and benzylated with benzyl bromide (VII) to furnish the target compound.

参考文献No.803818
标题:New acetylcholinesterease inhibitors
作者:Maggi, A.; Brufani, M.; Lappa, S.; Filocamo, L.
来源:Drugs Fut 1997,22(4),397
合成路线图解说明:

Hydrolysis of physostigmine (I) with either NaOMe in ethanol or NaOBu in refluxing butanol (better yield) gives eseroline (II), which is condensed with phenyl isocyanate (III) by means of NaOMe in benzene, Na in benzene or Na in ether/benzene.

合成路线图解说明:

The Friedel Crafts condensation of 6-methoxyindolin-2-one (I) with acetyl chloride and AlCl3 gives the 5-acetyl-6-methoxyindolin-2-one (II), which is treated with hydroxylamine and acetic anhydride to yield the O-acetyloxime (III). The cyclization of (III) affords the 3-methyl-6,7-dihydro-5H-isoxazolo[4,5-f]indol-6-one (IV), which is condensed with 4-(iodomethyl)piperidine-1-carboxylic acid tert-butyl ester (V) to provide the adduct (VI). Finally this compound is deprotected with TFA and benzylated with benzyl bromide (VII) to furnish the target compound.

Drug Information Express,Drug R&D,Chemical Database,Patent Search.
Copyright © 2006-2026 Drug Future. All rights reserved.Contact Us