【药物名称】Ensaculin hydrochloride, Anseculin hydrochloride, KA-672.HCl
化学结构式(Chemical Structure):
参考文献No.23602
标题:Benzopyranones, a method for producing them and uses therefor
作者:Chatterjee, S.S.; N鰈dner, M.; Hauer, H. (Willmar Schwabe GmbH)
来源:DE 4111861; JP 1994506922; US 5428038; WO 9218493
合成路线图解说明:

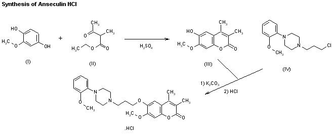
As shown in Scheme 21591401a, the Pechmann reaction of 2-methoxy-hydroquinone (I) with 2-methyl-3-oxobutanoic acid ethyl ester (II) in 75% sulfuric acid gives 6-hydroxy-7-methoxy-3,4-dimethyl-2H-1-benzopyran-2-one (III), which is condensed with 1-(3-chloropropyl)-4-(2-methoxyphenyl)piperazin (IV) in the presence of K2CO3 and KI in ethanol yielding the target product as free base.

参考文献No.366798
标题:Anseculin Hydrochloride
作者:N鰈dner, M.; Hauer, H.; Chatterjee, S.S.
来源:Drugs Fut 1996,21(8),779
合成路线图解说明:

As shown in Scheme 21591401a, the Pechmann reaction of 2-methoxy-hydroquinone (I) with 2-methyl-3-oxobutanoic acid ethyl ester (II) in 75% sulfuric acid gives 6-hydroxy-7-methoxy-3,4-dimethyl-2H-1-benzopyran-2-one (III), which is condensed with 1-(3-chloropropyl)-4-(2-methoxyphenyl)piperazin (IV) in the presence of K2CO3 and KI in ethanol yielding the target product as free base.

Drug Information Express,Drug R&D,Chemical Database,Patent Search.
Copyright © 2006-2026 Drug Future. All rights reserved.Contact Us