【药物名称】
化学结构式(Chemical Structure):
参考文献No.473736
标题:Novel cephalosporin derivatives possessing a bicyclic heterocycle at the 3-position. Part II: Synthesis and antibacterial activity of 3-(5-methylthiazolo[4,5-c]pyridinium-2-yl)thiomethylcephalosporin derivatives and related compounds
作者:Tsushima, M.; Kano, Y.; Umemura, E.; Iwamatsu, K.; Tamura, A.; Shibahara, S.
来源:Bioorg Med Chem 1998,6(9),1641
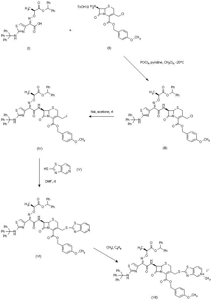
合成路线图解说明:

Amino cephem compound (II) was condensed with acid (I) using phosphoryl chloride and pyridine to yield amide (III). After conversion of the chloromethyl group of (III) into the correspondig iodide (IV) upon treatment with NaI in acetone, displacement of the halogen atom with 2-mercaptothiazolo[4,5-c]pyridine (V) in DMF provided sulfide (VI). Quaternization of the pyridine nitrogen atom of (VI) with CH3I, to give pyridinium salt (VII).

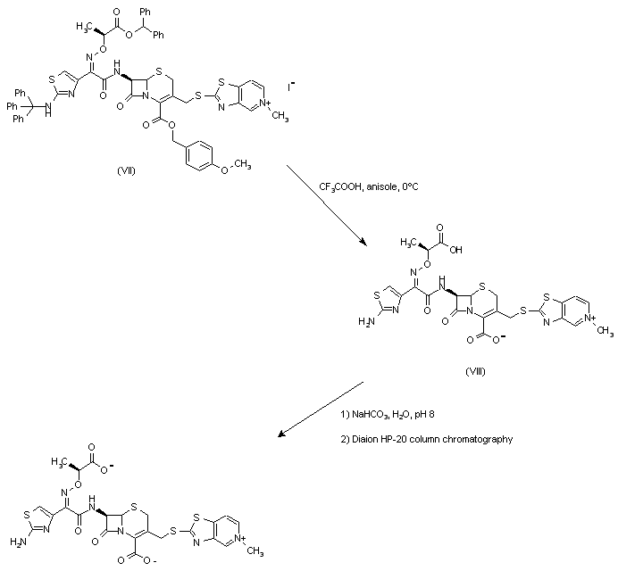
合成路线图解说明:

Pyridinium salt (VII) was followed by deprotection of the N-trityl and the benzyl ester groups in trifluoroacetic acid containing anisole, to furnish acid (VIII) as the inner salt with the pyridinium group. The remaining carboxylic acid group of (VIII) was finally converted to the sodium salt upon treatment with aqueous NaHCO3, and the target compound was purified by Diaion HP-20 column chromatography.

Drug Information Express,Drug R&D,Chemical Database,Patent Search.
Copyright © 2006-2026 Drug Future. All rights reserved.Contact Us