【药物名称】R-755
化学结构式(Chemical Structure):
参考文献No.24746
标题:N-Heteroaryl-N'-phenylurea derivs., their production and use
作者:Nagamine, M.; Yamamoto, K.; Matsui, Y.; Horiuchi, K.; Yoshida, M. (Nihon Nohyaku Co., Ltd.)
来源:CA 2116286; EP 0613894; JP 1994340647; US 5464863
合成路线图解说明:

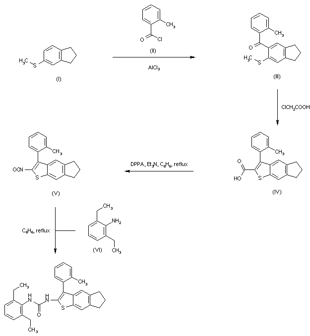
The required benzothiophenecarboxylic acid precursor (IV) was prepared by Friedel-Crafts acylation of 5-(methylthio)indan (I) with 2-methylbenzoyl chloride (II) followed by condensation of the resulting mercapto ketone (III) with hot chloroacetic acid. Curtius rearrangement of carboxylic acid (IV) using diphenylphosphoryl azide produced isocyanate (V), which was subsequently condensed with 2,6-diethylaniline (VI) to yield the title urea.

Drug Information Express,Drug R&D,Chemical Database,Patent Search.
Copyright © 2006-2026 Drug Future. All rights reserved.Contact Us