【药物名称】AHL-157
化学结构式(Chemical Structure):
参考文献No.24583
标题:Arylamide derivs.
作者:Komoto, T.; Hirota, H.; Sato, S.; Othsuka, M.; Koya, H.; Mizuno, H.; Kuraishi, T. (SSP Co., Ltd.)
来源:EP 0607536; JP 1995053517; US 5411972
合成路线图解说明:

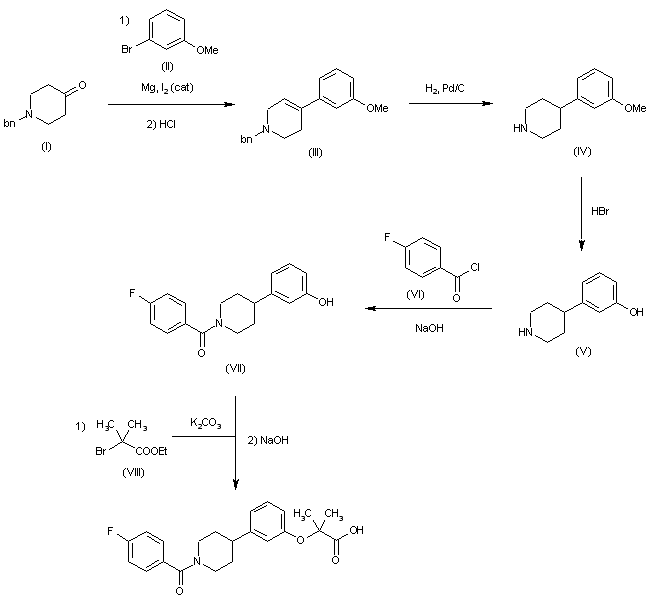
Protected piperidone (I) is condensed with methoxybromobenzene (II) via Grignard reaction by means of Mg and catalytic iodine in refluxing THF, and the resulting alcohol is then dehydrated with refluxing HCl in dioxane to afford compound (III). Hydrogenation of tetrahydropyridine (III) over Pd/C in EtOH yields piperidine derivative (IV), which is then demethylated with aqueous HBr to provide phenol (V). Condensation of (V) with 4-fluorobenzoyl chloride (VI) by means of NaOH in iPrOH/MeOH/H2O furnishes N-benzoylpiperidine derivative (VII), which is converted into the desired product by reaction with ethyl 2-bromo-2-methylpropanoate (VIII) by means of K2CO3 followed by hydrolysis with NaOH in H2O/MeOH/dioxane.

参考文献No.601190
标题:Preparation of new fibrates with piperidine ring and the pharmacological activity
作者:Komoto, T.; et al.
来源:20th Symp Med Chem (Dec 6 2000, Tokyo) 2000,Abst 2P-06
合成路线图解说明:

Protected piperidone (I) is condensed with methoxybromobenzene (II) via Grignard reaction by means of Mg and catalytic iodine in refluxing THF, and the resulting alcohol is then dehydrated with refluxing HCl in dioxane to afford compound (III). Hydrogenation of tetrahydropyridine (III) over Pd/C in EtOH yields piperidine derivative (IV), which is then demethylated with aqueous HBr to provide phenol (V). Condensation of (V) with 4-fluorobenzoyl chloride (VI) by means of NaOH in iPrOH/MeOH/H2O furnishes N-benzoylpiperidine derivative (VII), which is converted into the desired product by reaction with ethyl 2-bromo-2-methylpropanoate (VIII) by means of K2CO3 followed by hydrolysis with NaOH in H2O/MeOH/dioxane.

参考文献No.604998
标题:New strong fibrates with piperidine moiety
作者:Komoto, T.; Hirota, T.K.; Otsuka, M.; Kotake, J.; Hasegawa, S.; Koya, H.; Sato, S.; Sakamoto, T.
来源:Chem Pharm Bull 2000,48(12),1978
合成路线图解说明:

Protected piperidone (I) is condensed with methoxybromobenzene (II) via Grignard reaction by means of Mg and catalytic iodine in refluxing THF, and the resulting alcohol is then dehydrated with refluxing HCl in dioxane to afford compound (III). Hydrogenation of tetrahydropyridine (III) over Pd/C in EtOH yields piperidine derivative (IV), which is then demethylated with aqueous HBr to provide phenol (V). Condensation of (V) with 4-fluorobenzoyl chloride (VI) by means of NaOH in iPrOH/MeOH/H2O furnishes N-benzoylpiperidine derivative (VII), which is converted into the desired product by reaction with ethyl 2-bromo-2-methylpropanoate (VIII) by means of K2CO3 followed by hydrolysis with NaOH in H2O/MeOH/dioxane.

Drug Information Express,Drug R&D,Chemical Database,Patent Search.
Copyright © 2006-2026 Drug Future. All rights reserved.Contact Us