【药物名称】TAK-726
化学结构式(Chemical Structure):
参考文献No.476302
标题:Synthesis of peptide aldehyde derivatives as selective inhibitors of human cathepsin L and their inhibitory effect on bone resorption
作者:Yasuma, T.; Oi, S.; Choh, N.; Nomura, T.; Furuyama, N.; Nishimura, A.; Fujisawa, Y.; Sohda, T.
来源:J Med Chem 1998,41(22),4301
合成路线图解说明:

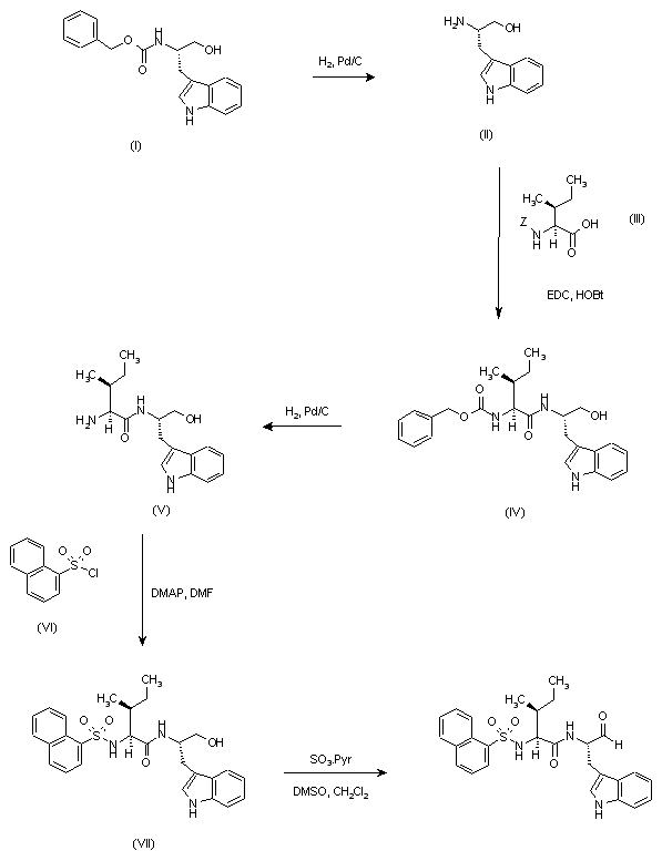
Title compound was prepared by two related ways: N-(Benzyloxycarbonyl)-L-tryptofanol (I) was deprotected by hydrogenolysis in the presence of Pd/C. The resulting tryptofanol (II) was then coupled with N-(benzyloxycarbonyl)-L-isoleucine (III), using 1-(3-diethylaminopropyl)-3-ethylcarbodiimide.HCl (EDC) and 1-hydroxybenzotriazole (HOBt) to provide (IV). Subsequent hydrogenolytic deprotection gave amine (V), which was condensed with 1-naphthalenylsulfonyl chloride (VI) in the presence of 4-(dimethylamino)pyridine to afford sulfonamide (VII). Finally, oxidation with DMSO in the presence of SO3-pyridine complex yielded the aldehyde.

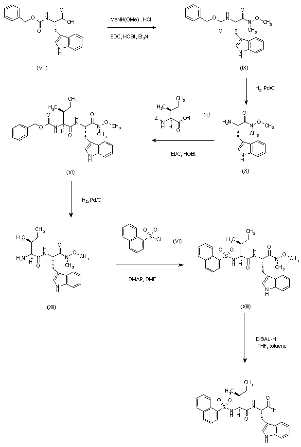
合成路线图解说明:

Alternatively, N-(benzyloxycarbonyl)-L-Trp (VIII) was condensed with N,O-dimethylhydroxylamine in the presence of EDC and HOBt to give N-(methoxy)amide (IX). Hydrogenolytic deprotection produced amine (X), which was coupled with Z-Ile (III) to afford dipeptide (XI). Subsequent deprotection, and coupling of the resulting amine (XII) with sulfonyl chloride (VI) gave sulfonamide (XIII). Then, reduction of the N-(methoxy)amide with diisobutylaluminum hydride furnished the target aldehyde

Drug Information Express,Drug R&D,Chemical Database,Patent Search.
Copyright © 2006-2026 Drug Future. All rights reserved.Contact Us