【药物名称】ICI-197067
化学结构式(Chemical Structure):
参考文献No.141181
标题:2-(3, 4-Dichlorophenyl)-N-methyl-N-[2-(1-pyrrolidinyl)-1-substituted-ethyl]-acetamides: The use of conformational analysis in the development of a novel series of potent opioid kappa agonists
作者:Costello, G.F.; et al.
来源:J Med Chem 1991,34(1),181-9
合成路线图解说明:

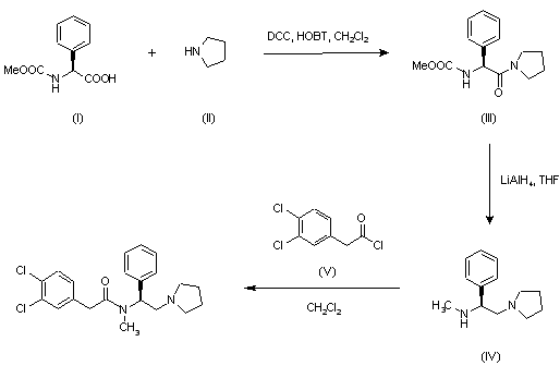
N-(Methoxycarbonyl)-(S)-phenylglycine (I) was converted to amide (III) by coupling with pyrrolidine (II) by means of DCC and HOBT. Simultaneous reduction of both carbamoyl and amide functions of (III) using excess LiAlH4 in THF gave the chiral diamine (IV). Final acylation of (IV) with (3,4-dichlorophenyl)acetyl chloride (V) in CH2Cl2 yielded the target amide.

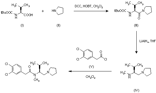
合成路线图解说明:

N-tert-Butoxycarbonyl valine (I) was converted to amide (III) by coupling with pyrrolidine (II) by means of DCC and HOBT. Simultaneous reduction of both carbamoyl and amide functions of (III) using excess LiAlH4 in THF gave the chiral diamine (IV). Final acylation of (IV) with (3,4-dichlorophenyl)acetyl chloride (V) in CH2Cl2 yielded the target amide.

Drug Information Express,Drug R&D,Chemical Database,Patent Search.
Copyright © 2006-2026 Drug Future. All rights reserved.Contact Us