【药物名称】NT-702, NM-702
化学结构式(Chemical Structure):
参考文献No.16107
标题:Pyridazinone deriv.
作者:Tanikawa, K.; Saito, A.; Matsumoto, T.; Sakoda, R.; Tsuruzoe, N.; Shikada, K.-I. (Nissan Chemical Industry, Ltd.)
来源:EP 0482208; JP 1992507543; US 5202323; US 5314883; US 5318968; WO 9116314
合成路线图解说明:

The title compound was prepared by condensation of the dibromopyridiazinone (I) with 3-picolylamine (II), followed by conversion to the corresponding hydrochloride salt

参考文献No.55735
标题:Processes for the preparation of (p-chlorophenyl)propanol derivs.
作者:Matsumoto, H.; Kamikawaji, M.; Horiuchi, T. (Nissan Chemical Industry, Ltd.)
来源:EP 1138660; WO 0035843
合成路线图解说明:

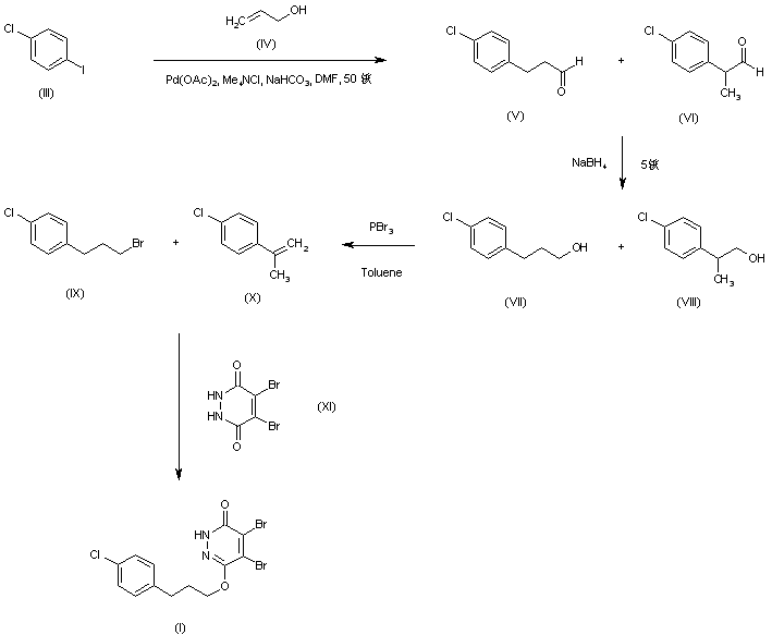
An improved procedure, amenable to the industrial synthesis of the precursor (I) was further developed. Heck coupling of p-chloroiodobenzene (III) with allyl alcohol (IV) in the presence of tetramethylammonium chloride and a catalytic amount of palladium acetate provided 3-(p-chlorophenyl)propanal (V) along with minor amounts of its branched isomer (VI). Further reduction of this mixture with NaBH4 led to the respective alcohols (VII) and (VIII). Only the desired alcohol (VII) underwent bromination to the desired bromide (IX) in the presence of PBr3 in hot toluene, whereas the branched alcohol (VIII) was dehydrohalogenated to olefin (X). Subsequent alkylation of pyridazinedione (XI) with the above reaction mixture afforded the pure intermediate

Drug Information Express,Drug R&D,Chemical Database,Patent Search.
Copyright © 2006-2026 Drug Future. All rights reserved.Contact Us