【药物名称】Bexarotene, LG-100069, LGD-1069, Targrexin, Targretin
化学结构式(Chemical Structure):
参考文献No.25253
标题:Cpds. having selectivity for retinoid X receptors
作者:Boehm, M.F.; Heyman, R.A.; Zhi, L. (Ligand Pharmaceuticals, Inc.)
来源:EP 0983991; EP 0983992; JP 1996505359; JP 1996505852; JP 1996511027; US 5780676; US 5962731; WO 9321146; WO 9415902
合成路线图解说明:

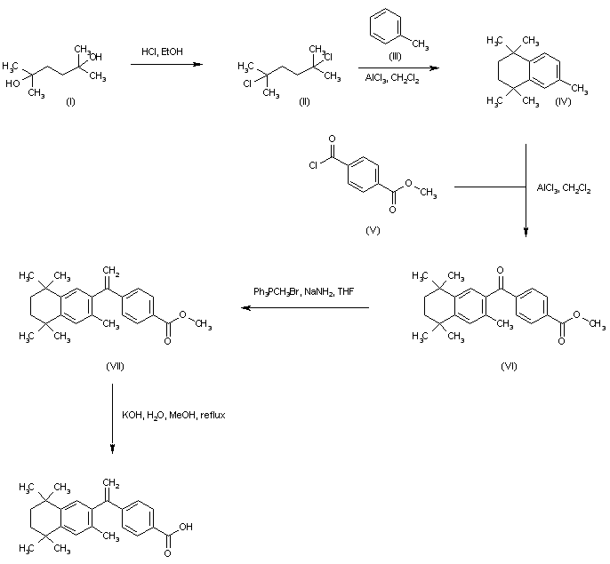
Treatment of 2,5-dimethyl-2-5-hexanediol (I) with dry hydrogen chloride in EtOH gives rise to the dichloro compound (II). Subsequent Friedel-Crafts condensation of dichloride (II) with toluene (III) in the presence of AlCl3 affords the tetrahydronaphthalene derivative (IV) (1). This is then condensed with mono-methyl terephthalic acid chloride (V) to produce ketone (VI). Wittig reaction of (VI) with methylene triphenylphosphorane leads to olefin (VII). Finally, alkaline hydrolysis of the methyl ester group of (VII) furnishes the target carboxylic acid

参考文献No.277761
标题:Synthesis and structure-activity relationships of novel retinoid X receptor-selective retinoids
作者:Boehm, M.F.; Zhang, L.; Badea, B.A.; White, S.K.; Mais, D.E.; Berger, E.; Suto, C.M.; Goldman, M.E..; Heyman, R.A.
来源:J Med Chem 1994,37(18),2930
合成路线图解说明:

Treatment of 2,5-dimethyl-2-5-hexanediol (I) with dry hydrogen chloride in EtOH gives rise to the dichloro compound (II). Subsequent Friedel-Crafts condensation of dichloride (II) with toluene (III) in the presence of AlCl3 affords the tetrahydronaphthalene derivative (IV) (1). This is then condensed with mono-methyl terephthalic acid chloride (V) to produce ketone (VI). Wittig reaction of (VI) with methylene triphenylphosphorane leads to olefin (VII). Finally, alkaline hydrolysis of the methyl ester group of (VII) furnishes the target carboxylic acid

合成路线图解说明:

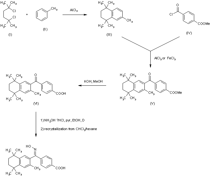
Friedel-Crafts condensation of 2,5-dichloro-2,5-dimethylhexane (I) with toluene (II) in the presence of AlCl3 or FeCl3 afforded the tetrahydronaphthalene (III). Subsequent acylation of (III) with monomethyl terephthalic acid chloride (IV) provided keto ester (V), which was hydrolyzed to keto acid (VI) with methanolic KOH. Condensation of (VI) with hydroxylamine hydrochloride gave the corresponding oxime as a mixture of geometric isomers. The required Z isomer was then isolated by recrystallization from chloroform/hexane.

参考文献No.323019
标题:Syntheses of isotopically labeled 4-[1-(3,5,5,8,8-pentamethyl-5,6,7,8-tetrahydro-2-naphthyl)ethenyl]benzoic acid (LGD1069), a potent retinoid X receptor-selective ligand
作者:Zhang, L.; Badea, B.A.; Enyeart, D.; Berger, E.M.; Mais, D.E.; Boehm, M.F.
来源:J Label Compd Radiopharm 1995,36(7),701
合成路线图解说明:

Treatment of 2,5-dimethyl-2-5-hexanediol (I) with dry hydrogen chloride in EtOH gives rise to the dichloro compound (II). Subsequent Friedel-Crafts condensation of dichloride (II) with toluene (III) in the presence of AlCl3 affords the tetrahydronaphthalene derivative (IV) (1). This is then condensed with mono-methyl terephthalic acid chloride (V) to produce ketone (VI). Wittig reaction of (VI) with methylene triphenylphosphorane leads to olefin (VII). Finally, alkaline hydrolysis of the methyl ester group of (VII) furnishes the target carboxylic acid

合成路线图解说明:

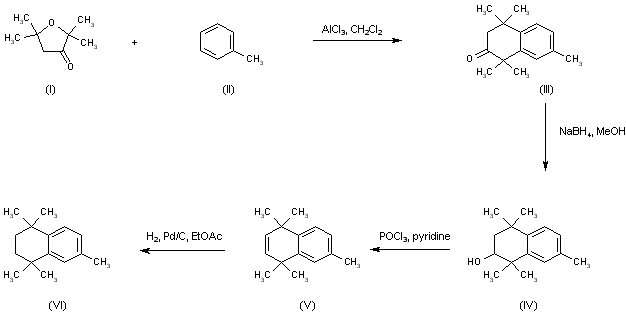
The intermediate tetrahydronaththalene (VI) has been prepared by an alternative procedure. Friedel-Crafts condensation of dihydro-2,2,5,5-tetramethyl-3(2H)-furanone (I) with toluene (II) by means of AlCl3 produces tetrahydronaphthalenone (III). This is reduced to alcohol (IV) employing NaBH4 in MeOH. Subsequent dehydration of (IV) with POCl3 in pyridine leads to the dihydronaphthalene (V). Then, catalytic hydrogenation of (V) over Pd/C provides the key pentamethyltetrahydronaphthalene (VI)

参考文献No.671972
标题:Synthesis of novel retinoid X receptor-selective retinoids
作者:Faul, M.M.; Ratz, A.M.; Sullivan, K.A.; Trankle, W.G.; Winneroski, L.L.
来源:J Org Chem 2001,66(17),5772
合成路线图解说明:

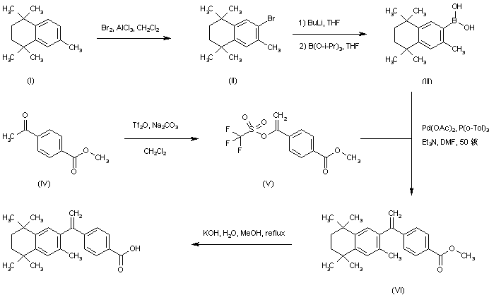
In a different strategy, electrophilic bromination of tetrahydronaphthalene (I) with Br2 and AlCl3 produces aryl bromide (II). Metalation of (II) with butyllithium, followed by reaction with triisopropyl borate, gives rise to the boronic acid (III). Treatment of methyl 4-acetylbenzoate (IV) with trifluoromethanesulfonic anhydride leads to the vinyl triflate (V). Then, Suzuki coupling of boronic acid (III) with vinyl triflate (V) furnishes the gem-diarylethylene derivative (VI). Finally, basic hydrolysis of the methyl ester group of (VI) provides the title carboxylic acid

合成路线图解说明:

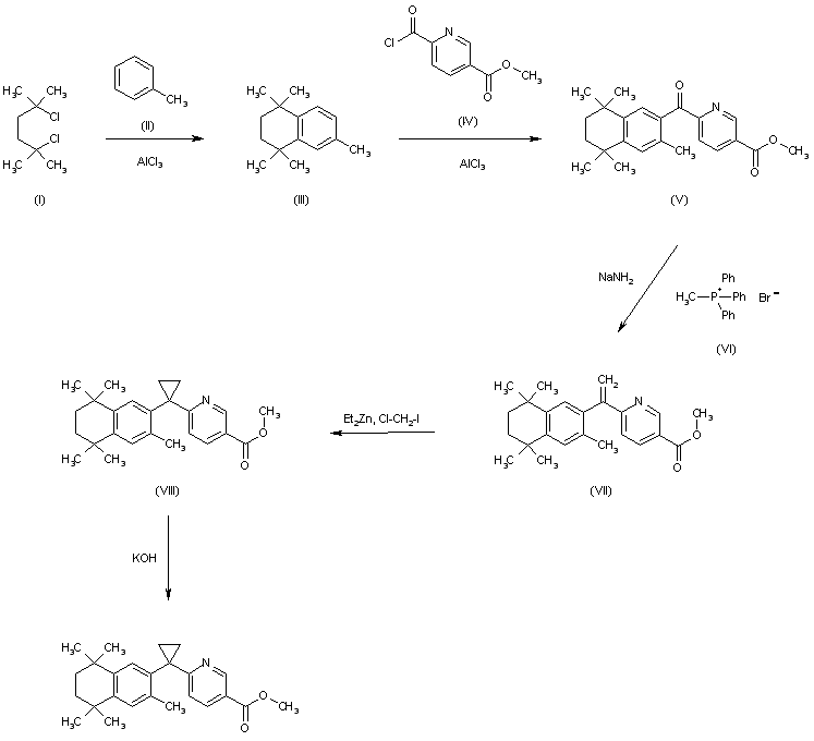
The Friedel Crafts condensation of 2,5-dichloro-2,2,5,5-tetramethylhexane (I) with toluene (II) by means of AlCl3 gives 1,1,4,4-tetramethyl-1,2,3,4-tetrahydronaphthalene (III), which is submitted to a new condensation with the pyridine-2-carbonyl chloride (IV) by means of AlCl3 in dichloromethane to yield the diaryl ketone (V). The reaction of (V) with methyltriphenylphosphonium bromide (VI) and NaNH2 affords the 1,1-diarylethylene (VII), which is treated with Et2Zn and Cl-CH2-I in dichloromethane to provide the 1,1-diarylcyclopropane (VIII). Finally, the ester group of (VIII) is hydrolyzed with KOH in methanol/water to yield the target carboxylic acid.

合成路线图解说明:

Friedel-Crafts condensation of 2,5-dichloro-2,5-dimethylhexane (I) with toluene (II) in the presence of AlCl3 or FeCl3 afforded the tetrahydronaphthalene (III). Subsequent acylation of (III) with monomethyl terephthalic acid chloride (IV) provided keto ester (V), which was hydrolyzed to keto acid (VI) with methanolic KOH. Condensation of (VI) with hydroxylamine hydrochloride gave the corresponding oxime as a mixture of geometric isomers. The required Z isomer was then isolated by recrystallization from chloroform/hexane.

Drug Information Express,Drug R&D,Chemical Database,Patent Search.
Copyright © 2006-2026 Drug Future. All rights reserved.Contact Us