【药物名称】TAK-603
化学结构式(Chemical Structure):
参考文献No.547585
标题:Studies on disease-modifying antirheumatic drugs. III. Bone resorption inhibitory effects of ethyl 4-(3,4-dimethoxyphenyl)-6,7-dimethoxy-2-(1,2,4-triazol-1-ylmethyl)quinoline-3-carboxylate (TAK-603) and related compounds
作者:Baba, A.; Oda, T.; Taketomi, S.; Notoya, K.; Nishimura, A.; Makino, H.; Sohda, T.
来源:Chem Pharm Bull 1999,47(3),369
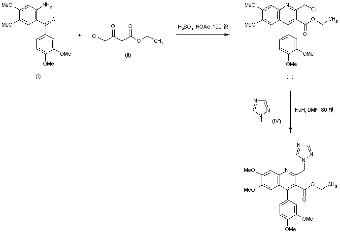
合成路线图解说明:

The 2-(chloromethyl)quinoline (III) was synthesized by Friedl鋘der reaction of aminobenzophenone (I) with ethyl 4-chloroacetoacetate (II) in the presence of H2SO4 in AcOH at 100 C. Then, displacement of the halogen atom of (III) with the sodium salt of 1,2,4-triazole (IV) in DMF at 80 C afforded the target compound.

Drug Information Express,Drug R&D,Chemical Database,Patent Search.
Copyright © 2006-2026 Drug Future. All rights reserved.Contact Us