【药物名称】Altohyrtin A, Spongistatin 1
化学结构式(Chemical Structure):
参考文献No.602282
标题:Total synthesis of altohyrtin A (spongistatin 1): Part 1
作者:Guo, J.; et al.
来源:Angew Chem. Int Ed Engl 1998,37(1-2),187
合成路线图解说明:

Synthesis of intermediate (VII): The condensation of epoxide (I) with vinyl lithium (II) by means of CuCN gives the allylic alcohol (III), which is epoxidated to epoxide (IV). The silylation of (IV) with TBDPSCl and imidazole yields the silyl ether (V), which is condensed with 1,3-dithiane (VI) by means of n-BuLi and protected with TBDPSCl as before to afford the desired intermediate (VII).

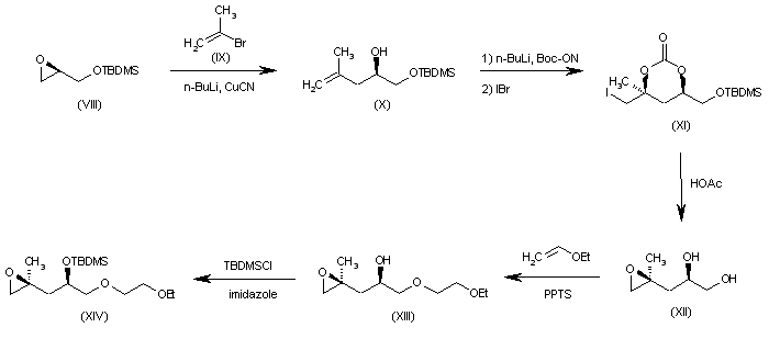
合成路线图解说明:

Synthesis of intermediate (XIV): The condensation of epoxide (VIII) with isopropenyl bromide (IX) by means of n-BuLi and CuCN gives the alcohol (X), which is treated with 2-(tert-butoxycarbonyloxyimino)-2-phenylacetonitrile (Boc-ON) and n-BuLi in toluene to yield the cyclic carbonate (XI). The epoxidation of (XI) with HOAc in THF affords the epoxide (XII), which is selectively monoprotected with ethyl vinyl ether to provide the secondary alcohol (XIII). Finally this compound is silylated with TBDMSCl and imidazole to furnish the desired intermediate (XIV).

合成路线图解说明:

Synthesis of intermediate (XX): The oxidation of silylated diol (XV) with OsO4, Pb(OAc)4 and N-methylmorpholine-N-oxide (NMO) in acetone/benzene gives the aldehyde (XVI), which is condensed with formaldehyde by means of KOtBu and B-iodo-9-borabicyclo[3.3.1]nonane (B-I-9-BBN) to yield the iodovinyl compound (XVII). The desilylation of (XVII) with HF and pyridine in THF affords the diol (XVIII), which is treated with 1,1-dimethoxycyclohexane (XIX) and pyridinium p-toluenesulfonate (PPTS) to provide the desired intermediate (XX).

合成路线图解说明:

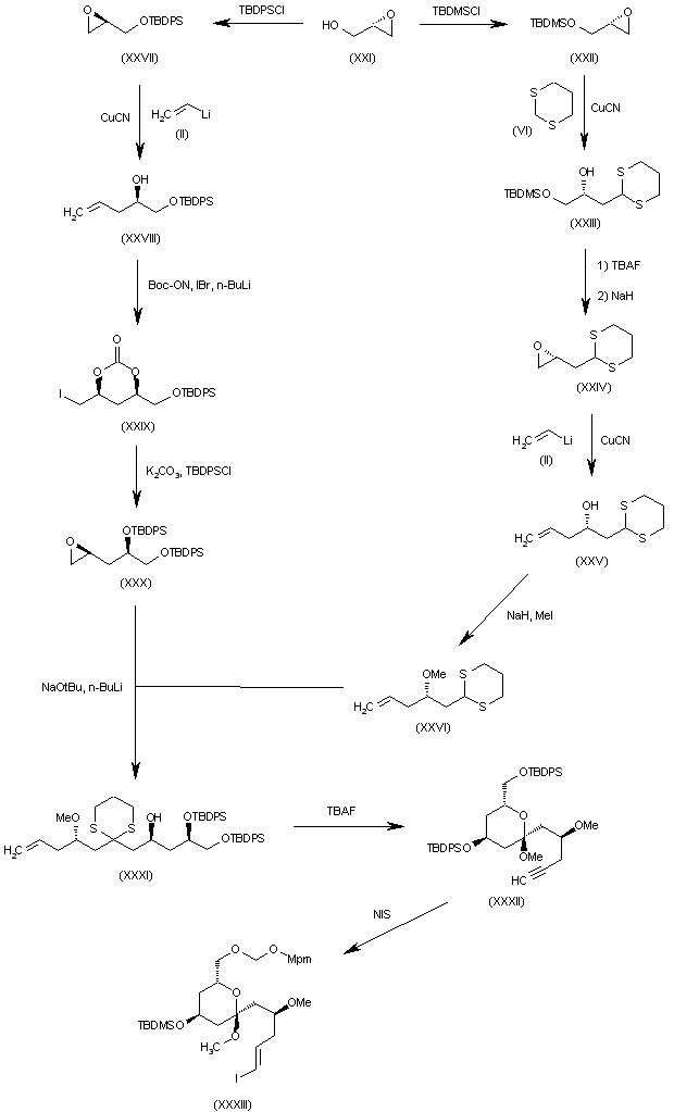
Synthesis of intermediate (XXXIII): The silylation of epoxide (XXI) with TBDMSCl gives the silyl ether (XXII), which is condensed with 1,3-dithiane (VI) by means of n-BuLi to yield the alcohol (XXIII). Epoxidation of (XXIII) with TBAF and NaH affords the epoxide (XXIV), which is condensed with vinyl lithium and CuCN to provide the allyl alcohol (XXV). The methylation of (XXV) with MeI and NaH in THF gives the methyl ether (XXVI). The silylation of epoxide (XXI) with TBDPSCl gives the silyl ether (XXVII), which is condensed with vinyl lithium (II) by means of CuCN in THF, yielding the allyl alcohol (XXVIII). The reaction of (XXVIII) with Boc-ON, n-BuLi and IBr affords the cyclic carbonate (XXIX), which is treated with K2CO3 in MeOH and silylated with TBDPSCl to provide the protected epoxide (XXX). The condensation of epoxide (XXX) with allyl ether (XXVI) by means of NaOtBu and n-BuLi in THF furnished the adduct (XXXI), which is cyclized by means of TBAF and converted into the acetylenic tetrahydropyran (XXXII). Finally, the iodination and reprotection of (XXXII) with Bu3SnH, AIBN, NIS, Mpm-OCH2Cl and DIEA gives the desired intermediate (XXXIII).

合成路线图解说明:

Synthesis of intermediate (XLIII): The condensation of dithiane intermediate (VII) with epoxide intermediate (XIV) by means of NaOtBu and n-BuLi gives alcohol (XXXIV), which is converted into epoxide (XXXV) by treatment with pyridinium p-toluenesulfonate (PPTS), NaH and tosyl-imidazole in THF. The condensation of (XXXV) with intermediate iodovinyl compound (XX) by means of n-BuLi in THF yields the diol (XXXVI), which is treated with CaCO3 and NIS to afford the spiroketal (XXXVII). The monoacylation of (XXXVIII) with methoxyacetyl chloride (XXXVIII) and LiNH2, followed by cleavage of the cyclohexylidene ketal with PPTS, provides the triol (XXXIX), which is selectively silylated at the primary OH group with TBDMSCl to give the silyl ether (LX). The acylation of the two secondary OH groups of (LX) with Ac2O and DMAP yields the diacetate (XLI), which is desilylated with HF and pyridine in acetonitrile afford the primary alcohol (XLII). Finally, this compound is oxidized with DMP in dichloromethane to furnish the desired intermediate aldehyde (XLIII).

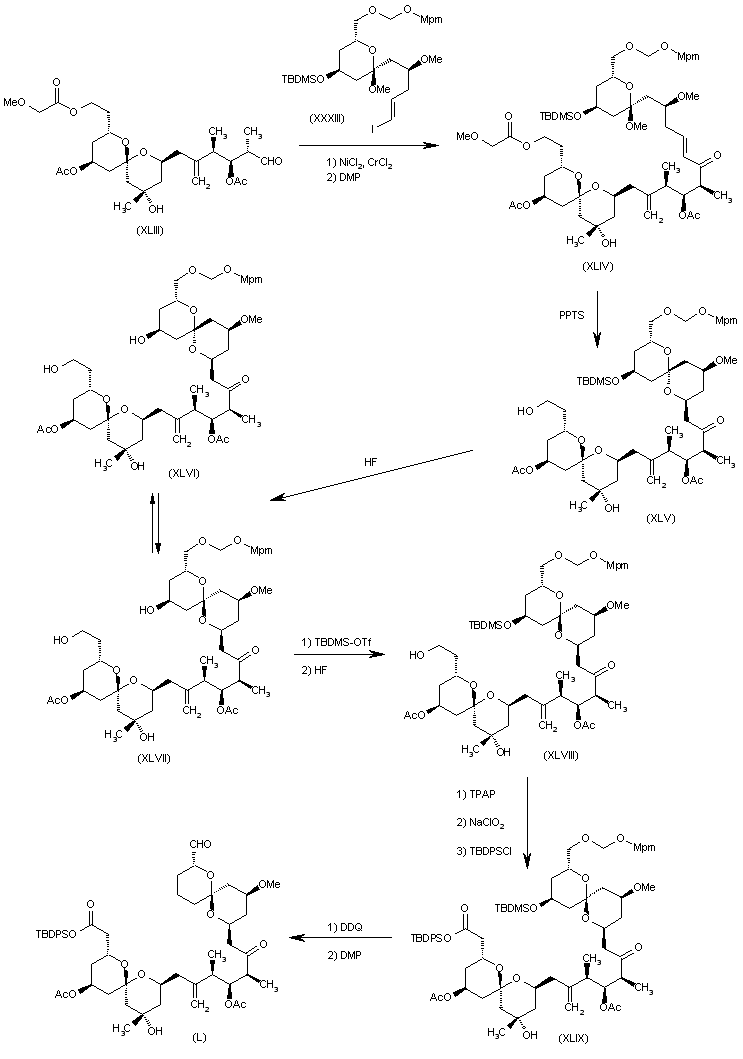
合成路线图解说明:

Synthesis of intermediate (L): The condensation of aldehyde intermediate (XLIII) with iodovinyl intermediate (XXXIII) by means of NiCl2/CrCl2 bispyridinyl ligand in THF, followed by a treatment with DMP, gives the adduct (XLIV), which is treated with PPTS to yield the bis spiroketal (XLV) with undesired configuration at the new stereocenter. The treatment of (XLV) with HF/pyridine in acetonitrile gives rise to a desilylation of the TBDMS group with concomitant isomerization of the new stereocenter yielding a separable mixture of two diastereomers (XLVI) and (XLVII). Compound (XLVII) has the desired configuration, and (XLVI) can be recovered by isomerizing it again to the starting diastereomeric mixture. The silylation of (XLVII) with TBDMS-OTf, followed by selective monodesilylation of the primary OH group with HF/pyridine in THF, gives the ethanol derivative (XLVIII), which is oxidized with tetrapropylammonium perruthenate (TPAP) and NaClO2 and silylated with TBDPSCl to yield the silyl ester (XLIX). Finally, this compound is selectively deprotected with DDQ and oxidized with DMP to afford the desired aldehydic intermediate (L).

参考文献No.602285
标题:Total synthesis of altohyrtin A (spongistatin 1): Part 2
作者:Hayward, M.M.; et al.
来源:Angew Chem. Int Ed Engl 1998,37(1-2),192
合成路线图解说明:

Synthesis of intermediate (LV): The reaction of epoxide (LI) with 2-bromopropenal diethylacetal (LII) by means of BuLi and CuI gives the adduct (LIII), which is treated with TsOH and acetone yielding the aldehydic acetonide (LIV). Finally, this compound is reduced with NaBH4, chlorinated with N-chlorosuccinimide (NCS) and condensed with Bu3Sn-Li in THF to afford the desired stannane intermediate (LV).

合成路线图解说明:

Synthesis of intermediate (LXIII): The reaction of aldehyde (LVI) with (-)-diisopinocampheyl-(E)-crotyl boronate (DIPCB) in toluene gives the chiral alcohol (LVII), which is protected with Bn-Br and NaH, yielding the benzyl ether (LVIII).The oxidation of the terminal double bond of (LVIII) with OsO4 and NaIO4 in THF/methanol/water affords the aldehyde (LIX), which is treated with (R,R)-diisopropyl allyl boronate (DISAB) to provide the allylic alcohol (LX). The silylation of (LX) with Tips-OTf, followed by debenzylation with Li/NH3 gives the secondary alcohol (LXI). The oxidation of the terminal double bond of (LXI) with OsO4 and NaIO4, with simultaneous cyclization yields the dihydropyran derivative (LXII), which is finally iodinated with n-BuLi, Bu3Sn-Cl and N-iodosuccinimide (NIS) in THF to afford the desired iodinate dihydropyran intermediate (LXIII).

合成路线图解说明:

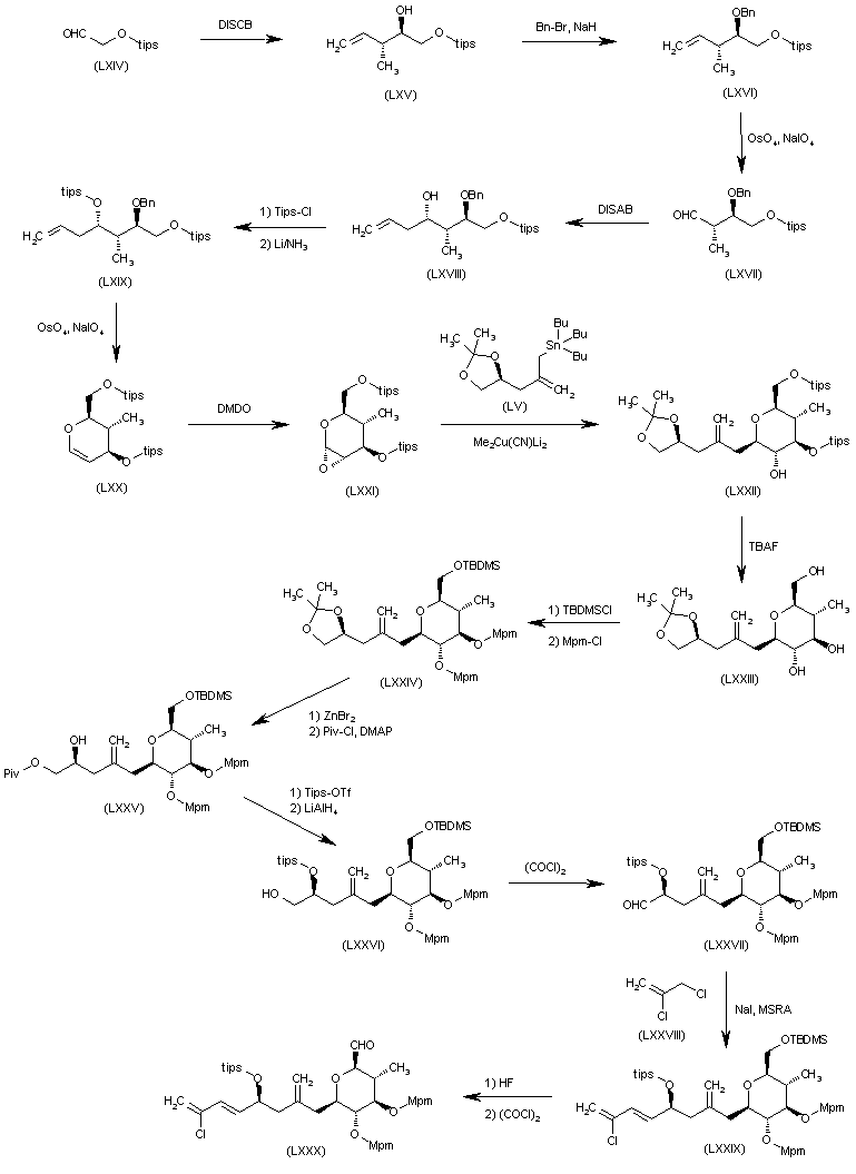
Synthesis of intermediate (LXXI): The reaction of aldehyde (LXIV) with (S,S)-diisopropyl-(E)-crotyl boronate (DISCB) in toluene gives the alcohol (LXV), which is protected with Bn-Br and NaH yielding the benzyl ether (LXVI). The oxidation of the terminal double bond of (LXVI) with OsO4 and NaIO4 affords the aldehyde (LXVII), which is treated with (DISAB) to provide the allyl alcohol (LVIII). The silylation of (LXVIII) with Tips-OTf, followed by debenzylation with Li/NH3, gives the expected disilylated triol (LXIX). The oxidation of the terminal double bond of (LXIX) with OsO4 and NaIO4, with simultaneous cyclization yields the dihydropyran derivative (LXX), which is epoxidated with dimethyldioxirane (DMDO) in dichloromethane/acetone to afford the desired epoxide intermediate (LXXI).

合成路线图解说明:

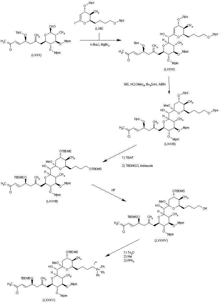
Synthesis of intermediate (LXXXV): The condensation of aldehyde intermediate (LXXX) with iododihydropyran (LXIII) by means of n-BuLi in ethyl ether gives the adduct (LXXXI), which is methoxylated with NIS, HC(OMe)3, Bu3SnH and AIBN, yielding the intermediate (LXXXII). Desilylation of (LXXXII) with TBAF and resilylation with TBDMSCl and imidazole to afford silylated (LXXXIII) now switch the Tips groups of (LXXXII) to the more labile Tbdms groups. The selective desilylation of the primary Tbdms group of (LXXXIII) with HF in pyridine/methanol gives the butanol derivative (LXXXIV), which is treated successively with Ts2O, NaI and finally with PPh3 and DIEA in hot acetonitrile/methanol to yield the desired phosphonium iodide intermediate (LXXXV).

合成路线图解说明:

Synthesis of the target 213774: The Wittig condensation of the intermediate aldehyde (L) with the intermediate phosphonium iodide (LXXXV) by means of LDA in THF/HMPA gives the adduct (LXXXVI). Cleavage of the Mpm protecting groups and simultaneous hydrolysis of the methyl ketal group with DDQ, followed by KF-induced elimination of the silyl ester protecting group and macrolactonization under Yamaguchi conditions, afforded macrolactone (LXXXVII). Finally, this compound is desilylated with HF/pyridine in THF.

Drug Information Express,Drug R&D,Chemical Database,Patent Search.
Copyright © 2006-2026 Drug Future. All rights reserved.Contact Us