【药物名称】Pelitrexol, AG-2037, AG-2038((6R)-isomer), AG-2032(racemate)
化学结构式(Chemical Structure):
参考文献No.56714
标题:Cpds. useful as antiproliferative agents and GARFT inhibitors
作者:Varney, M.D.; Romines, W.H. (Agouron Pharmaceuticals, Inc.)
来源:WO 9603406
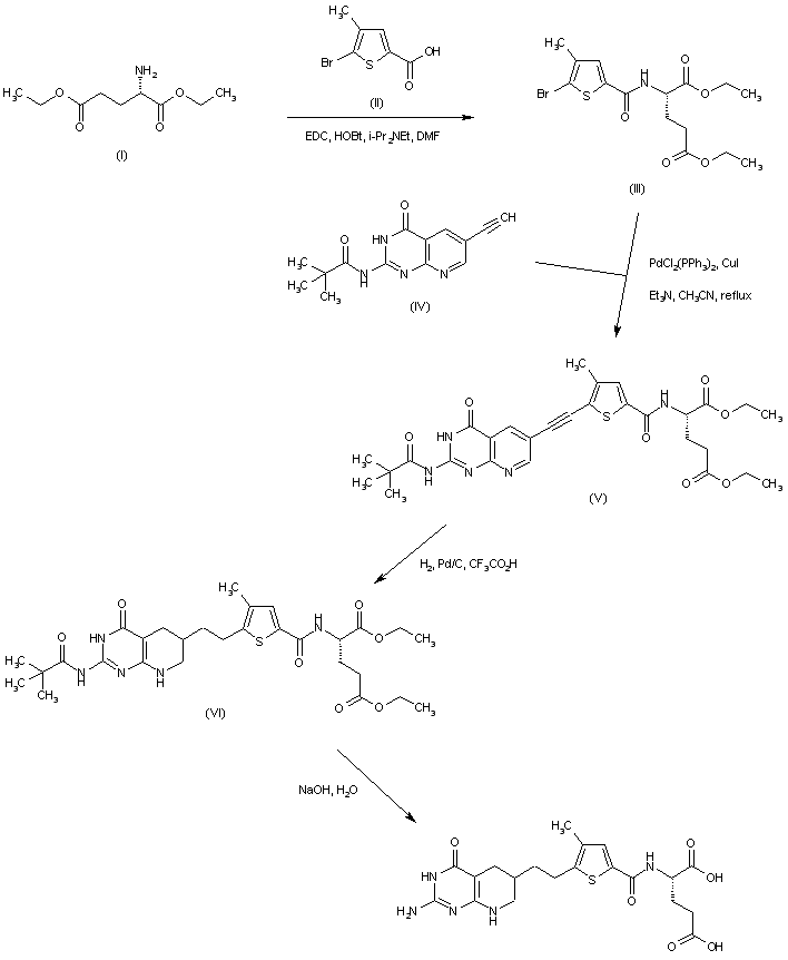
合成路线图解说明:

Acylation of diethyl L-glutamate (I) with 5-bromo-4-methylthiophene-2-carboxylic acid (II) using EDC as the coupling reagent provided amide (III). Subsequent palladium-catalyzed coupling between bromothiophene (III) and ethynyl pyridopyrimidinone (IV) furnished the disubstituted acetylene (V), which was further hydrogenated to (VI) in the presence of Pd/C in trifluoroacetic acid. Finally, basic hydrolysis of the ethyl ester and pivaloyl groups of (VI) led to the title compound.

Drug Information Express,Drug R&D,Chemical Database,Patent Search.
Copyright © 2006-2026 Drug Future. All rights reserved.Contact Us