【药物名称】Tigilcycline, Tigecycline, WAY-GAR-936, GAR-936, TBG-MINO, Tygacil
化学结构式(Chemical Structure):
参考文献No.26554
标题:Method of producing 7-(substd.)-9-[(substd. glycyl)amidol]-6-demethyl-6-deoxytetracyclines
作者:Sum, P.-E.; Lee, V.J. (American Cyanamid Co.)
来源:EP 0582790; US 5284963
合成路线图解说明:

Nitration of minocycline (I) with KNO3 and H2SO4 gives the 9-nitro derivative (II), which is reduced with H2 over Pd/C in 2-methoxyethanol/2N H2SO4 to provide 9-aminominocycline (III). Acylation of compound (III) with 2-bromoacetyl bromide (IV) in N,N-dimethylpropyleneurea (DMPU) affords 9-(2-bromoacetamido)minocycline (V). Finally, this compound is treated with tert-butylamine (VI) to yield, after purification, GAR-936.

参考文献No.249512
标题:Glycylcyclines. 1. A new generation of potent antibacterial agents through modification of 9-aminotetracyclines
作者:Sum, P.-E.; Lee, V.J.; Testa, R.T.; Hlavka, J.J.; Ellestad, G.A.; Bloom, J.D.; Gluzman, Y.; Tally, F.P.
来源:J Med Chem 1994,37(1),184-8
合成路线图解说明:

By acylation of 9-amino-6-demethyl-6-deoxytetracycline (I) with sarcosyl chloride (II) by means of Na2CO3 in acetonitrile with or without dimethylpropylenurea.

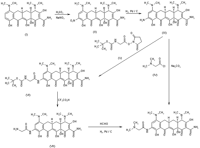
合成路线图解说明:

This compound can be obtained by two related ways: 1) The nitration of minocycline (I) by means of NaNO3 and H2SO4 gives the 9-nitro derivative (II), which is hydrogenated with H2 over Pd/C in 2-methoxyethanol to yield the 9-amino derivative (III). Finally, this compound is acylated with sarcosyl chloride (IV) by means of Na2CO3 in acetonitrile/dimethylpropylenurea. 2) The acylation of the 9-amino derivative (III) with N-(succinimidyloxycarbonyl)carbamic acid tert-butyl ester (V) by means of sodium acetate in THF gives the 9-(tert-butoxycarbonyl)glycylamino substituted compound (VI), which is deprotected with trifluoroacetic acid to afford the 9-glycylamino compound (VII). Finally, this compound is methylated with formaldehyde and simultaneous hydrogenation with H2 over Pd/C in 2-methoxyethanol.

合成路线图解说明:

Nitration of minocycline (I) with KNO3 and H2SO4 gives the 9-nitro derivative (II), which is reduced with H2 over Pd/C in 2-methoxyethanol/2N H2SO4 to provide 9-aminominocycline (III). Acylation of compound (III) with 2-bromoacetyl bromide (IV) in N,N-dimethylpropyleneurea (DMPU) affords 9-(2-bromoacetamido)minocycline (V). Finally, this compound is treated with tert-butylamine (VI) to yield, after purification, GAR-936.

参考文献No.632431
标题:Synthesis and structure-activity relationship of novel glycylcline derivatives leading to the discovery of GAR-936
作者:Sum, P.-E.; Petersen, P.
来源:Bioorg Med Chem Lett 1999,9(10),1459
合成路线图解说明:

Nitration of minocycline (I) with KNO3 and H2SO4 gives the 9-nitro derivative (II), which is reduced with H2 over Pd/C in 2-methoxyethanol/2N H2SO4 to provide 9-aminominocycline (III). Acylation of compound (III) with 2-bromoacetyl bromide (IV) in N,N-dimethylpropyleneurea (DMPU) affords 9-(2-bromoacetamido)minocycline (V). Finally, this compound is treated with tert-butylamine (VI) to yield, after purification, GAR-936.

参考文献No.634733
标题:GAR-936
作者:Hunter, P.A.; Casta馿r, J.
来源:Drugs Fut 2001,26(9),851
合成路线图解说明:

Nitration of minocycline (I) with KNO3 and H2SO4 gives the 9-nitro derivative (II), which is reduced with H2 over Pd/C in 2-methoxyethanol/2N H2SO4 to provide 9-aminominocycline (III). Acylation of compound (III) with 2-bromoacetyl bromide (IV) in N,N-dimethylpropyleneurea (DMPU) affords 9-(2-bromoacetamido)minocycline (V). Finally, this compound is treated with tert-butylamine (VI) to yield, after purification, GAR-936.

Drug Information Express,Drug R&D,Chemical Database,Patent Search.
Copyright © 2006-2026 Drug Future. All rights reserved.Contact Us