【药物名称】Dehydroepiandrosterone, Prasterone, IPL-1001, PB-007, EL-10, DHEA, GL-701, Fidelin, Anastar, Prestara, Inflabloc, Aslera
化学结构式(Chemical Structure):
参考文献No.303141
标题:Prasterone
作者:Casta馿r, J.; Mealy, N.; Rabasseda, X.
来源:Drugs Fut 1995,20(6),575
合成路线图解说明:

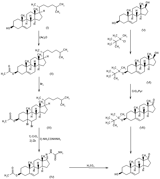
Prasterone can be obtained by two related ways: 1) The acetylation of cholesterol (I) with refluxing acetic anhydride gives the corresponding acetate (II), which is brominated with Br2 in acetic acid to the dibromide (III). The oxidation of (III) with CrO3 in acetic acid followed by debromination with Zn in the same solvent and treatment with semicarbazide and sodium acetate in ethanol/water affords 3beta-acetoxyandrost-5-en-17-one semicarbazone (IV), which is finally hydrolyzed with 5N H2SO4 in refluxing ethanol. 2) The partial silylation of androst-5-ene-3beta,17beta-diol (V) with tert-butyldimethylsilyl chloride and imidazole in DMF yields the 3beta-silyloxy derivative (VI), which is oxidized with CrO3-pyridine complex in pyridine affording 3-(tert-butyldimethylsilyloxy)androst-5-en-17-one (VII). Finally, this compound is deprotected with hot acetic acid/water/THF or with tetrabutylammonium fluoride in THF.

参考文献No.306913
标题:The preparation of dehydroandrosterone from cholesterol
作者:Fernholz, E.; Wallis, E.S.
来源:J Am Chem Soc 1935,571504-6
合成路线图解说明:

Prasterone can be obtained by two related ways: 1) The acetylation of cholesterol (I) with refluxing acetic anhydride gives the corresponding acetate (II), which is brominated with Br2 in acetic acid to the dibromide (III). The oxidation of (III) with CrO3 in acetic acid followed by debromination with Zn in the same solvent and treatment with semicarbazide and sodium acetate in ethanol/water affords 3beta-acetoxyandrost-5-en-17-one semicarbazone (IV), which is finally hydrolyzed with 5N H2SO4 in refluxing ethanol. 2) The partial silylation of androst-5-ene-3beta,17beta-diol (V) with tert-butyldimethylsilyl chloride and imidazole in DMF yields the 3beta-silyloxy derivative (VI), which is oxidized with CrO3-pyridine complex in pyridine affording 3-(tert-butyldimethylsilyloxy)androst-5-en-17-one (VII). Finally, this compound is deprotected with hot acetic acid/water/THF or with tetrabutylammonium fluoride in THF.

参考文献No.306914
标题:The constitution of dehydro-androsterone and its preparation from cholesterol
作者:Fernholz, E.; Wallis, E.S.
来源:J Am Chem Soc 1935,571379-80
合成路线图解说明:

Prasterone can be obtained by two related ways: 1) The acetylation of cholesterol (I) with refluxing acetic anhydride gives the corresponding acetate (II), which is brominated with Br2 in acetic acid to the dibromide (III). The oxidation of (III) with CrO3 in acetic acid followed by debromination with Zn in the same solvent and treatment with semicarbazide and sodium acetate in ethanol/water affords 3beta-acetoxyandrost-5-en-17-one semicarbazone (IV), which is finally hydrolyzed with 5N H2SO4 in refluxing ethanol. 2) The partial silylation of androst-5-ene-3beta,17beta-diol (V) with tert-butyldimethylsilyl chloride and imidazole in DMF yields the 3beta-silyloxy derivative (VI), which is oxidized with CrO3-pyridine complex in pyridine affording 3-(tert-butyldimethylsilyloxy)androst-5-en-17-one (VII). Finally, this compound is deprotected with hot acetic acid/water/THF or with tetrabutylammonium fluoride in THF.

参考文献No.306915
标题:Convenient, high yield conversion of androst-5-ene-3beta,17beta-diol to dehydroisoandrosterone
作者:Hosoda, H.; Fukushima, D.K.; Fishman, J.
来源:J Org Chem 1973,38(24),4209-11
合成路线图解说明:

Prasterone can be obtained by two related ways: 1) The acetylation of cholesterol (I) with refluxing acetic anhydride gives the corresponding acetate (II), which is brominated with Br2 in acetic acid to the dibromide (III). The oxidation of (III) with CrO3 in acetic acid followed by debromination with Zn in the same solvent and treatment with semicarbazide and sodium acetate in ethanol/water affords 3beta-acetoxyandrost-5-en-17-one semicarbazone (IV), which is finally hydrolyzed with 5N H2SO4 in refluxing ethanol. 2) The partial silylation of androst-5-ene-3beta,17beta-diol (V) with tert-butyldimethylsilyl chloride and imidazole in DMF yields the 3beta-silyloxy derivative (VI), which is oxidized with CrO3-pyridine complex in pyridine affording 3-(tert-butyldimethylsilyloxy)androst-5-en-17-one (VII). Finally, this compound is deprotected with hot acetic acid/water/THF or with tetrabutylammonium fluoride in THF.

参考文献No.306916
标题:Sexual hormones: Synthetic preparation of the male sexual hormones trans-dehydroandrosterone and androstene-3,17-dione
作者:Ruzicka, L.; Wettstein, A.
来源:Helv Chim Acta 1935,18986-95
合成路线图解说明:

Prasterone can be obtained by two related ways: 1) The acetylation of cholesterol (I) with refluxing acetic anhydride gives the corresponding acetate (II), which is brominated with Br2 in acetic acid to the dibromide (III). The oxidation of (III) with CrO3 in acetic acid followed by debromination with Zn in the same solvent and treatment with semicarbazide and sodium acetate in ethanol/water affords 3beta-acetoxyandrost-5-en-17-one semicarbazone (IV), which is finally hydrolyzed with 5N H2SO4 in refluxing ethanol. 2) The partial silylation of androst-5-ene-3beta,17beta-diol (V) with tert-butyldimethylsilyl chloride and imidazole in DMF yields the 3beta-silyloxy derivative (VI), which is oxidized with CrO3-pyridine complex in pyridine affording 3-(tert-butyldimethylsilyloxy)androst-5-en-17-one (VII). Finally, this compound is deprotected with hot acetic acid/water/THF or with tetrabutylammonium fluoride in THF.

Drug Information Express,Drug R&D,Chemical Database,Patent Search.
Copyright © 2006-2026 Drug Future. All rights reserved.Contact Us