【药物名称】Napsagatran, Ro-46-6240/010(monoH2O), Ro-46-6240
化学结构式(Chemical Structure):
参考文献No.280074
标题:Design and synthesis of potent and highly selective thrombin inhibitors
作者:Hilpert, K.; Ackermann, J.; Banner, D.W.; Gast, A.; Gubernator, K.; Hadvary, P.; Labler, L.; Muller, K.; Schmid, G.; Tschopp, T.B.; et al.
来源:J Med Chem 1994,37(23),3889-901
合成路线图解说明:

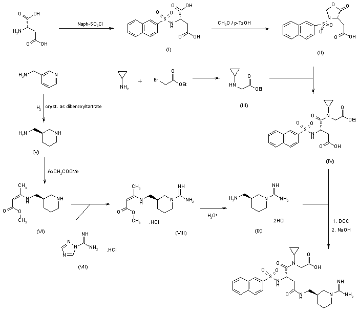
A general synthesis of this entire class of thrombin inhibitors has been published recently. An alternative synthesis for the preparation of napsagatran is outlined in Scheme 21319301a: L-Aspartic acid is sulfonated with naphthalenesulfochloride to give the sulfonamide (I). Reaction of (I) with formaldehyde leads to the oxazolinone (II), which is reacted with N-cyclopropylglycine ethyl ester (III) to afford the aspartate (IV). Condensation of (IV) with the guanidine (IX) and saponification of the ethyl ester group provides napsagatran. For the preparation of the guanidine (IX), picolylamine is hydrogenated to give the racemic 3-aminomethyl-piperidine, from which the desired enantiomer (V) is isolated as dibenzoyltartrate by crystallization. Reaction of piperidine (V) with acetoacetate affords the protected piperidine (VI), which is amidinated with amidinotriazole (VII) to give the protected guanidine (VIII). Deprotection of (VIII) with hydrochloric acid provides the enantiomerically pure guanidine (IX) as dihydrochloride.

参考文献No.298951
标题:Napsagatran
作者:Gast, A.; Kirchhofer, D.; Soukup, M.; Roux, S.; Ackermann, J.; Hilpert, K.; Tschopp, T.B.; Schmid, G.
来源:Drugs Fut 1995,20(5),476
合成路线图解说明:

A general synthesis of this entire class of thrombin inhibitors has been published recently. An alternative synthesis for the preparation of napsagatran is outlined in Scheme 21319301a: L-Aspartic acid is sulfonated with naphthalenesulfochloride to give the sulfonamide (I). Reaction of (I) with formaldehyde leads to the oxazolinone (II), which is reacted with N-cyclopropylglycine ethyl ester (III) to afford the aspartate (IV). Condensation of (IV) with the guanidine (IX) and saponification of the ethyl ester group provides napsagatran. For the preparation of the guanidine (IX), picolylamine is hydrogenated to give the racemic 3-aminomethyl-piperidine, from which the desired enantiomer (V) is isolated as dibenzoyltartrate by crystallization. Reaction of piperidine (V) with acetoacetate affords the protected piperidine (VI), which is amidinated with amidinotriazole (VII) to give the protected guanidine (VIII). Deprotection of (VIII) with hydrochloric acid provides the enantiomerically pure guanidine (IX) as dihydrochloride.

Drug Information Express,Drug R&D,Chemical Database,Patent Search.
Copyright © 2006-2026 Drug Future. All rights reserved.Contact Us