【药物名称】S-21663, PMS-812
化学结构式(Chemical Structure):
参考文献No.441117
标题:Design and synthesis of imidazoline derivatives active on glucose homeostasis in a rat model of type II diabetes. 1. Synthesis and biological activities of N-benzyl-N'-(arylalkyl)-2-(4', 5'-dihydro-1'H-imidazol-2'-yl)piperazines
作者:Rondu, F.; Le Bihan, G.; Wang, X.; Lamouri, A.; Touboul, E.; Dive, G.; Bellahsene, T.; Pfeiffer, B.; Renard, P.; Guardiola-Lemaitre, B.; Manechez, D.; Penicaud, L.; Ktorza, A.; Godfroid, J.J.
来源:J Med Chem 1997,40(23),3793
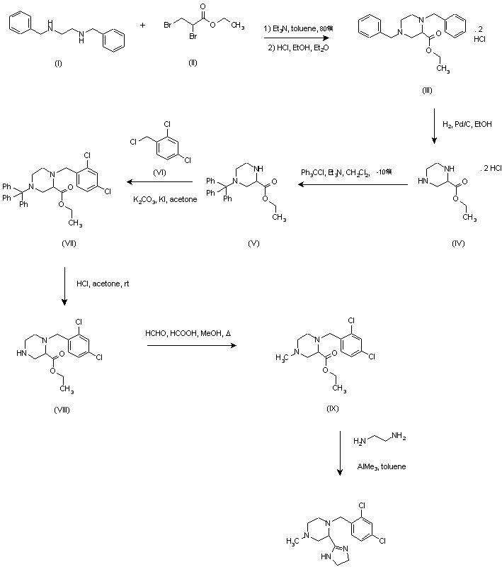
合成路线图解说明:

Condensation of N,N'-dibenzylethylenediamine (I) with ethyl 2,3-dibromopropionate (II) in the presence of Et3N in toluene at 80 C gave, after acidification, piperazine (III). Then, hydrogenolytic N-debenzylation in the presence of Pd/C provided ethyl piperazine-2-carboxylate (IV), which was selectively alkylated at position 4 with 1 equivalent of triphenylmethyl chloride in the presence of Et3N at -10 C to give (V). Subsequent alkylation with 2,4-dichlorobenzyl chloride (VI) in the presence of K2CO3 and a catalytic amount of KI provided (VII). Removal of the N-trityl group by treatment with HCl in either acetone or ethanol afforded piperarine (VIII), which was N-methylated by reaction with formaldehyde and formic acid in refluxing MeOH. Finally, the resulting compound (IX) was converted into the imidazoline on treatment with ethylenediamine and trimethylaluminum in refluxing toluene.

Drug Information Express,Drug R&D,Chemical Database,Patent Search.
Copyright © 2006-2026 Drug Future. All rights reserved.Contact Us