【药物名称】Doxercalciferol, TSA-840, One-alpha D2, 1alpha-D2, Hectorol
化学结构式(Chemical Structure):
参考文献No.41705
标题:Process for preparing 1-hydroxylated vitamin D cpds. from 5,6-trans-vitamin D cpds.
作者:Schnoes, H.K.; Paaren, H.E.; DeLuca, H.F.; Hamer, D.E. (Wisconsin Alumni Research Foundation)
来源:US 4265822
合成路线图解说明:

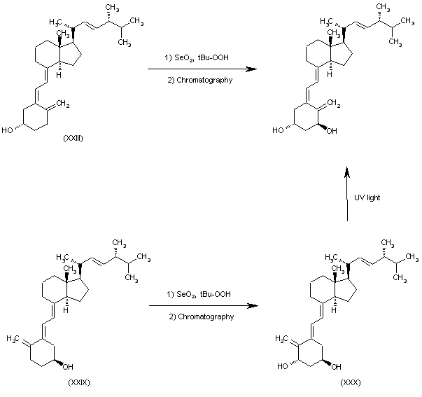
By allylic oxidation of vitamin D2 (XXIII) with SeO2 and tert-butyl hydroperoxide in pyridine followed by purification by TLC over silicagel. The allylic oxidation of trans-vitamin D2 (XXIX) with SeO2, tert-butyl hydroperoxide and octahydroacridine in dichloromethane gives the trans-1alpha-hydroxyvitamin D2 (XXX), which is isomerized to the target compound by irradiation with UV light with anthracene as photosensitizer.

参考文献No.41706
标题:Synthesis of 1alpha-hydroxy vitamin D
作者:Guo, L.; Moriarty, R.M.; Penmasta, R.A. (Lunar Corp.)
来源:WO 9602501
合成路线图解说明:

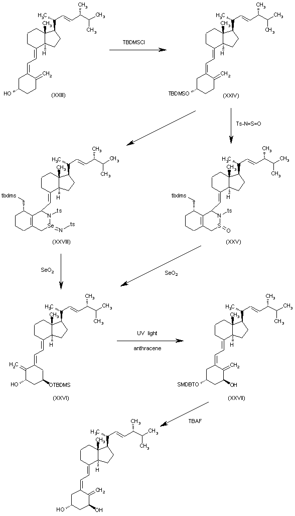
The silylation of vitamin D2 (XXIII) with TBDMS-Cl and imidazole in dichloromethane gives the silyl ether (XXIV), which is cyclized with N-sulfinyl-p-toluenesulfonamide yielding the Diels-Alder adduct (XXV). The oxidation of (XXV) with SeO2 and N-methylmorpholine-oxide in ethanol affords the trans-1alpha-hydroxy-3-O-(tert-butyldimethylsilyl)vitamin D2 (XXVI), which is irradiated with UV light in benzene containing anthracene yielding 1alpha-hydroxy-3-O-(tert-butyldimethylsilyl)vitamin D2 (XXVII). Finally, this compound is desilylated with TBAF in THF. The cyclization of the silyl ether (XXIV) can also be performed with Ts-N=Se=N-Ts yielding the corresponding adduct (XXVIII), which is oxidized with SeO2 as before to afford the trans-1alpha-hydroxy-3-O-(tert-butyldimethylsilyl) vitamin D2 (XXVI) already reported.

参考文献No.41710
标题:Process for preparing 1alpha-hydroxylated cpds.
作者:Paaren, H.E.; Hamer, D.E.; DeLuca, H.F.; Schnoes, H.K. (Wisconsin Alumni Research Foundation)
来源:BE 0873512; US 4195027; WO 7900513
合成路线图解说明:

The methanolysis of vitamin D2 tosylate (XIV) gives the cyclovitamin (XV), which is oxidized with SeO2 and tert-butyl hydroperoxide in dichloromethane yielding the 1alpha-hydroxy cyclovitamin (XVI). The acylation of (XVI) with acetic anhydride affords the acetate (XVII), which is rearranged with TsOH in hot dioxane to provide 1alpha-acetodyvitamin D2 (XVIII). Finally, this com-pound is hydrolyzed with KOH in aqueous methanol.

合成路线图解说明:

The 25-hydroxyvitamin D2 (I) is converted into the cyclovitamin D2 acetate (II) according to known methods. The dihydroxylation of the methylene group of (II) with OsO4 in pyridine gives vicinal diol (III), which is oxidized with NaIO4 yielding the ketonic cyclovitamin (IV). The reduction of the ketonic group of (IV) with NaBH4 in ethanol/water affords the corresponding hydroxy derivative (V), which is treated with mesyl chloride and triethylamine to give the mesylate (VI). The reduction of (VI) with LiAlH4 in THF yields the 19-nor-cyclovitamin D (VII), which is treated with hot acetic acid to afford both monoacetates (VIII) and (IX), separated by HPLC. Finally, both monoacetates (VIII) and (IX) are hydrolyzed with KOH in methanol.

参考文献No.41714
标题:Process for preparing 1alpha-hydroxylated cpds.
作者:DeLuca, H.F.; Hamer, D.E.; Paaren, H.E.; Schnoes, H.K. (Wisconsin Alumni Research Foundation)
来源:US 4202829
合成路线图解说明:

By allylic oxidation of vitamin D2 (XXIII) with SeO2 and tert-butyl hydroperoxide in pyridine followed by purification by TLC over silicagel. The allylic oxidation of trans-vitamin D2 (XXIX) with SeO2, tert-butyl hydroperoxide and octahydroacridine in dichloromethane gives the trans-1alpha-hydroxyvitamin D2 (XXX), which is isomerized to the target compound by irradiation with UV light with anthracene as photosensitizer.

参考文献No.41716
标题:1alpha-Hydroxyergocalciferol and processes for preparing same
作者:Schnoes, H.K.; DeLuca, H.F.; Lam, H.-Y. (Wisconsin Alumni Research Foundation)
来源:US 3907843
合成路线图解说明:

The Oppenauer oxidation of ergosterol (XIX) gives ergosta-4,6,22-trien-3-one (I), which is dehydrogenated with SeO2 to ergosta-1,4,6,22-tetraen-3-one (II). The epoxidation of (II) with H2O2 and NaOH in dioxane affords the 1alpha,2alpha-epoxide (XX), which is reduced with Li in liquid NH3 to give ergost-5-ene-1alpha,3beta-diol (XXI). The acylation of (XXI) with acetic anhydride and pyridine yields the diacetate (XXII), which is dehydrogenated by the bromination dehydrobromination method to provide the previously reported 1alpha-acetoxyergosteryl acetate (XII). The UV irradiation of (XII) with a high pressure Hg lamp gives the 1alpha-hydroxyvitamin D2 diacetate (XIII), which is finally, deacylated with KOH in methanol.

参考文献No.563122
标题:A convenient syntesis of a 1alpha-hydroxyvitamin D2
作者:Tachibana, Y.
来源:Bull Chem Soc Jpn 1988,61(11),3915
合成路线图解说明:

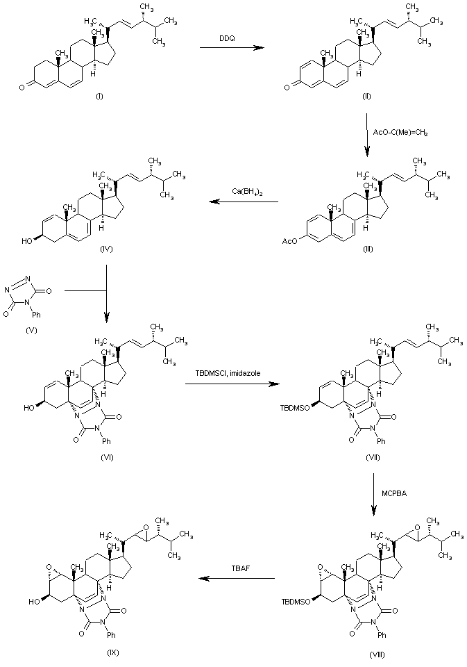
The reaction of ergosta-4,6,22-trien-3-one (I) with DDQ and 5-sulfosalicylic acid in refluxing dioxane gives ergosta-1,4,6,22-tetraen-3-one (II), which is acylated with isopropenyl acetate and Ts-OH in refluxing butyl acetate yielding 3-acetoxyergosta-1,3,5,7,22-pentaene (III). The reduction of (III) with calcium borohydridde in ethanol affords ergosta-1,5,7,22-tetraen-3beta-ol (IV), which is condensed with 4-phenyl-3H-4,5-dihydro-1,2,4-triazole-3,5-dione (V) in ethyl acetate yielding the Diels-Alder adduct (VI). The silylation of (VI) with TBDMS-Cl and imidazole affords the silyl ether (VII), which is epoxidized with MCPBA in chloroform giving the 1alpha,2alpha-22,23-diepoxide (VIII). The elimination of the silyl group with TBAF in THF gives the 3beta-alcohol (IX).

合成路线图解说明:

The reduction of (IX) with LiAlH4 in refluxing THF eliminates the Diels-Alder adduct and opens the 1alpha,2alpha-epoxide giving the 1alpha,2beta-diol (X), which is acylated with acetyl chloride in pyridine yielding the diacetoxy epoxide (XI). The reaction of (XI) with NaI and trifluoroacetic anhydride in acetonitrile/THF regenerates the 22,23-double bond affording 1alpha-acetoxyergosteryl acetate (XII), which is submitted to UV irradiation with a high pressure mercury lamp in ethyl ether to provide the diacetate of 1alpha-hydroxyvitamin D2 (XIII). Finally, this compound is deacylated with KOH in refluxing ethanol.

参考文献No.563131
标题:Direct C-1 hydroxylation of vitamin D compounds: Convenient preparation of 1alpha-hydroxyvitamin D3, 1alpha,25-dihydroxyvitamin D3, and 1alpha-hydroxyvitamin D2
作者:Paaren, H.E.; Hamer, D.E.; Schnoes, H.K.; DeLuca, H.F.
来源:Proc Natl Acad Sci USA 1978,75(5),2080
合成路线图解说明:

The methanolysis of vitamin D2 tosylate (XIV) gives the cyclovitamin (XV), which is oxidized with SeO2 and tert-butyl hydroperoxide in dichloromethane yielding the 1alpha-hydroxy cyclovitamin (XVI). The acylation of (XVI) with acetic anhydride affords the acetate (XVII), which is rearranged with TsOH in hot dioxane to provide 1alpha-acetodyvitamin D2 (XVIII). Finally, this com-pound is hydrolyzed with KOH in aqueous methanol.

参考文献No.563132
标题:Synthesis of 1alpha-hydroxyergocalciferol
作者:Lam, H.Y.; Schnoes, H.K.; DeLuca, H.F.
来源:Steroids 1977,30(5),671
合成路线图解说明:

The Oppenauer oxidation of ergosterol (XIX) gives ergosta-4,6,22-trien-3-one (I), which is dehydrogenated with SeO2 to ergosta-1,4,6,22-tetraen-3-one (II). The epoxidation of (II) with H2O2 and NaOH in dioxane affords the 1alpha,2alpha-epoxide (XX), which is reduced with Li in liquid NH3 to give ergost-5-ene-1alpha,3beta-diol (XXI). The acylation of (XXI) with acetic anhydride and pyridine yields the diacetate (XXII), which is dehydrogenated by the bromination dehydrobromination method to provide the previously reported 1alpha-acetoxyergosteryl acetate (XII). The UV irradiation of (XII) with a high pressure Hg lamp gives the 1alpha-hydroxyvitamin D2 diacetate (XIII), which is finally, deacylated with KOH in methanol.

Drug Information Express,Drug R&D,Chemical Database,Patent Search.
Copyright © 2006-2026 Drug Future. All rights reserved.Contact Us