【药物名称】FR-86521
化学结构式(Chemical Structure):
参考文献No.561880
标题:Synthesis and biological properties of a novel cephalosporin FR86521 having potent activity against methicilin-resistant Staphylococcus aureus (MRSA)
作者:Kishi, K.; Ohki, H.; Okuda, S.; Kawabata, K.; Sakane, K.; Matsumoto, Y.; Matsumoto, S.; Tawara, S.
来源:J Antibiot 1999,52(12),1152
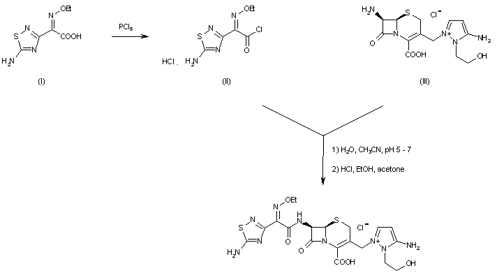
合成路线图解说明:

Treatment of carboxylic acid (I) with PCl5 afforded the corresponding acid chloride (II). This was condensed with the 7beta-aminocephalosporin derivative (III), and the resulting amide was finally treated with HCl to provide the title compound.

Drug Information Express,Drug R&D,Chemical Database,Patent Search.
Copyright © 2006-2026 Drug Future. All rights reserved.Contact Us