【药物名称】Isaglitazone, Netoglitazone, RWJ-241947, MCC-555
化学结构式(Chemical Structure):
参考文献No.24352
标题:Naphthalene derivs.
作者:Ueno, H.; Oe, T.; Suehiro, I.; Nakamura, F. (Mitsubishi Chemical Corp.)
来源:EP 0604983; JP 1994247945; US 5594016
合成路线图解说明:

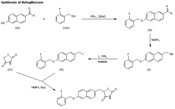
Reaction of aldehyde (III) with 2-fluorobenzyl alcohol (VIII) by means of triphenylphosphine and diethyl azodicarboxylate (DEAD) in THF furnishes 6-(2-fluorobenzyloxy)naphthalene-2-carbaldehyde (IX) , which is then reduced with NaBH4 in ethanol/THF to give the naphthalenemethanol derivative (X). Halogenation of (X) by means of iodide, triphenylphosphine and imidazole in THF yields the naphthylmethyl iodide derivative (XI), which is finally condensed with thiazolidine-2,4-dione (IV) by means of HMPA and butyl lithium in THF.

参考文献No.53600
标题:Preparation method of naphthalene derivs.
作者:Ohe, T.; Suehiro, I.; Sekiya, T.; Ueno, H. (Mitsubishi Chemical Corp.)
来源:JP 1998139768
合成路线图解说明:

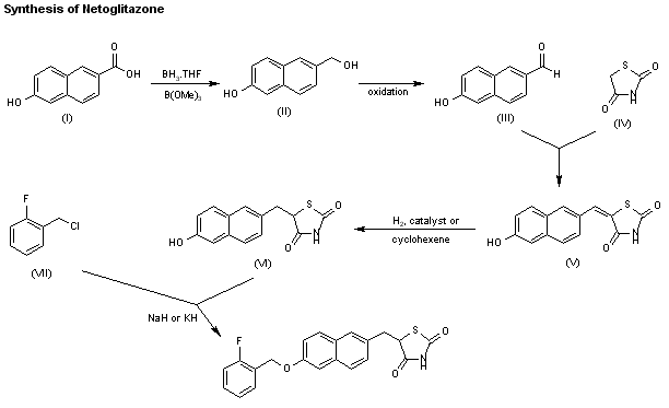
Reduction of 6-hydroxynaphthalen-2-carboxylic acid (I) by means of trimethyl borate and BH3.THF complex ?obtained by reaction of NaBH4 and dimethyl sulfate in THF ?yields the naphthyl carbinol derivative (II), which is oxidized to aldehyde (III) with either manganese dioxide in DMF or acetone, mixtures of CuCl2, CuBr2 or FeCl3 with 2,2,6,6-tetramethylpiperidine-1-oxyl (TEMPO) in DMF or O2, TEMPO and a ruthenium catalyst in chlorobenzene. Condensation of aldehyde (III) with thiazolidine-2,4-dione (IV) in 2-methoxyethanol, 2-propanol, DMF or DMSO gives 5-(6-hydroxynaphthalen-2-ylmethylene)thiazolidine-2,4-dione (V), which is then reduced with either H2 over catalyst or cyclohexene to provide 5-(6-hydroxynaphthalen-2-ylmethyl)thiazolidine-2,4-dione (VI). Finally, compound (VI) is condensed with 2-fluorobenzyl chloride (VII) by means of NaH or KH in DMF, DMSO or NMP.

参考文献No.53601
标题:6-Hydroxy-2-naphthylcarbinol and process for the preparation thereof
作者:Ichikawa, S.; Iwane, H.; Qu, J. (Mitsubishi Chemical Corp.)
来源:WO 0073252
合成路线图解说明:

Reduction of 6-hydroxynaphthalen-2-carboxylic acid (I) by means of trimethyl borate and BH3.THF complex ?obtained by reaction of NaBH4 and dimethyl sulfate in THF ?yields the naphthyl carbinol derivative (II), which is oxidized to aldehyde (III) with either manganese dioxide in DMF or acetone, mixtures of CuCl2, CuBr2 or FeCl3 with 2,2,6,6-tetramethylpiperidine-1-oxyl (TEMPO) in DMF or O2, TEMPO and a ruthenium catalyst in chlorobenzene. Condensation of aldehyde (III) with thiazolidine-2,4-dione (IV) in 2-methoxyethanol, 2-propanol, DMF or DMSO gives 5-(6-hydroxynaphthalen-2-ylmethylene)thiazolidine-2,4-dione (V), which is then reduced with either H2 over catalyst or cyclohexene to provide 5-(6-hydroxynaphthalen-2-ylmethyl)thiazolidine-2,4-dione (VI). Finally, compound (VI) is condensed with 2-fluorobenzyl chloride (VII) by means of NaH or KH in DMF, DMSO or NMP.

参考文献No.657482
标题:Netoglitazone
作者:del Fresno, M.; Sorbera, L.A.; Casta馿r, J.; Silvestre, J.S.
来源:Drugs Fut 2002,27(2),132
合成路线图解说明:

Reduction of 6-hydroxynaphthalen-2-carboxylic acid (I) by means of trimethyl borate and BH3.THF complex ?obtained by reaction of NaBH4 and dimethyl sulfate in THF ?yields the naphthyl carbinol derivative (II), which is oxidized to aldehyde (III) with either manganese dioxide in DMF or acetone, mixtures of CuCl2, CuBr2 or FeCl3 with 2,2,6,6-tetramethylpiperidine-1-oxyl (TEMPO) in DMF or O2, TEMPO and a ruthenium catalyst in chlorobenzene. Condensation of aldehyde (III) with thiazolidine-2,4-dione (IV) in 2-methoxyethanol, 2-propanol, DMF or DMSO gives 5-(6-hydroxynaphthalen-2-ylmethylene)thiazolidine-2,4-dione (V), which is then reduced with either H2 over catalyst or cyclohexene to provide 5-(6-hydroxynaphthalen-2-ylmethyl)thiazolidine-2,4-dione (VI). Finally, compound (VI) is condensed with 2-fluorobenzyl chloride (VII) by means of NaH or KH in DMF, DMSO or NMP.

合成路线图解说明:

Reaction of aldehyde (III) with 2-fluorobenzyl alcohol (VIII) by means of triphenylphosphine and diethyl azodicarboxylate (DEAD) in THF furnishes 6-(2-fluorobenzyloxy)naphthalene-2-carbaldehyde (IX) , which is then reduced with NaBH4 in ethanol/THF to give the naphthalenemethanol derivative (X). Halogenation of (X) by means of iodide, triphenylphosphine and imidazole in THF yields the naphthylmethyl iodide derivative (XI), which is finally condensed with thiazolidine-2,4-dione (IV) by means of HMPA and butyl lithium in THF.

Drug Information Express,Drug R&D,Chemical Database,Patent Search.
Copyright © 2006-2026 Drug Future. All rights reserved.Contact Us