【药物名称】Tresperimus triflutate, LF-08-0299, Cellimis
化学结构式(Chemical Structure):
参考文献No.487972
标题:Structure-immunosuppressive activity relationships of new analogues of 15-deoxyspergualin. 1. Structural modifications of the hydroxyglycine moiety
作者:Lebreton, L.; Annat, J.; Derrepas, P.; Dutartre, P.; Renaut, P.
来源:J Med Chem 1999,42(2),277
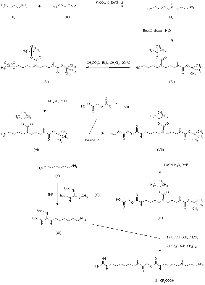
合成路线图解说明:

Monoalkylation of 1,3-propanediamine (I) with 4-chlorobutanol (II) in refluxing n-BuOH afforded diaminoalcohol (III), which was protected as the bis-carbamate (IV) upon treatment with Boc2O. Subsequent reaction of (IV) with methanesulfonyl chloride and Et3N provided mesylate (V), and this was further treated with ethanolic ammonia to yield primary amine (VI). Condensation of amine (VI) with (methoxycarbonylmethyl) phenyl carbonate (VII) in refluxing toluene gave carbamate (VIII). Saponification of the methyl ester function of (VIII) then furnished carboxylic acid (IX). 1,6-Hexanediamine (X) was condensed with N,N'-bis(tert-butoxycarbonyl)-S-methylisothiourea (XI) to produce the (6-aminohexyl)guanidine derivative (XII). This was then coupled with carboxylic acid (IX) using DCC and HOBt. Finally, the N-Boc groups were deprotected with trifluoroacetic acid in CH2Cl2.

Drug Information Express,Drug R&D,Chemical Database,Patent Search.
Copyright © 2006-2026 Drug Future. All rights reserved.Contact Us