【药物名称】Marimastat, TA-2516, BB-2516
化学结构式(Chemical Structure):
参考文献No.22944
标题:Natural amino acid derivs. as metalloproteinase inhibitors
作者:Dickens, J.P.; Crimmin, M.J.; Beckett, R.P. (British Biotech plc)
来源:EP 0651738; EP 0651739; GB 2268933; GB 2268934; JP 1995509460; JP 1998204081; WO 9402446; WO 9402447
合成路线图解说明:

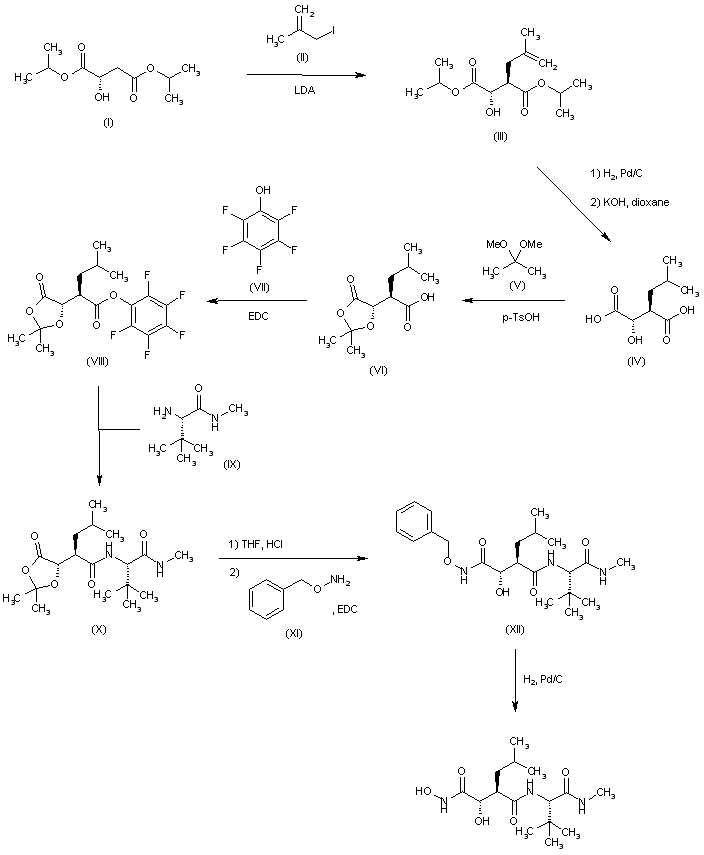
Treatment of butanedioate derivative (I) with methallyl iodide (II) and LDA in THF affords alkene (III), which is then reduced by hydrogenation over Pd/C and subjected to saponification by means of KOH in dioxane to yield succinic acid (IV). Protection of (IV) with 2,2-dimethoxypropane (V) and p-TsOH in DMF provides derivative (VI), which is then coupled with pentafluorophenol (VII) by using EDC in CH2Cl2 to furnish activated ester (VIII). Displacement of the pentafluorophenol moiety of (VIII) by treatment with L-tert-leucine methylamide (IX) in DMF gives methylamide derivative (X), which is deprotected with THF and HCl and condensed with O-benzylhydroxylamine (XI) by means of EDC to afford derivative (XII). Finally, (XII) is debenzylated by hydrogenation over Pd/C in EtOH to give the target compound.

参考文献No.599331
标题:An improved synthesis of the broad spectrum matrix metalloprotease inhibitor marimastat
作者:Davenport, R.J.; Watson, R.J.
来源:Tetrahedron Lett 2000,41(41),7983
合成路线图解说明:

Treatment of butanedioate derivative (I) with methallyl iodide (II) and LDA in THF affords alkene (III), which is then reduced by hydrogenation over Pd/C and subjected to saponification by means of KOH in dioxane to yield succinic acid (IV). Protection of (IV) with 2,2-dimethoxypropane (V) and p-TsOH in DMF provides derivative (VI), which is then coupled with pentafluorophenol (VII) by using EDC in CH2Cl2 to furnish activated ester (VIII). Displacement of the pentafluorophenol moiety of (VIII) by treatment with L-tert-leucine methylamide (IX) in DMF gives methylamide derivative (X), which is deprotected with THF and HCl and condensed with O-benzylhydroxylamine (XI) by means of EDC to afford derivative (XII). Finally, (XII) is debenzylated by hydrogenation over Pd/C in EtOH to give the target compound.

合成路线图解说明:

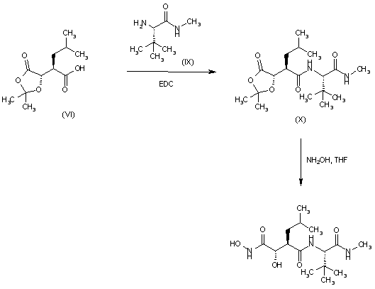
An improved method for the obtaining of the desired product is the direct coupling of carboxylic acid derivative (VI) with L-tert-leucine methylamide (IX) by using EDC in CH2Cl2 to furnish methylamide derivative (X), followed by final treatment of (X) with hydroxylamine (NH2OH) in THF.

Drug Information Express,Drug R&D,Chemical Database,Patent Search.
Copyright © 2006-2026 Drug Future. All rights reserved.Contact Us