【药物名称】Frovatriptan, SB-209509AX(succinate), VML-251, SB-209509, Auradol, Rilamig, Allegro, Frova, Frovelan(former Brand Name), Miguard, Migard
化学结构式(Chemical Structure):
参考文献No.19748
标题:Use of tetrahydrocarbazole derivs. as 5HT1 receptor agonists
作者:King, F.D.; Gaster, L.M.; Kaumann, A.J.; Young, R.C. (SmithKline Beecham plc)
来源:EP 0591280; JP 1994508827; US 5464864; US 5827871; WO 9300086
合成路线图解说明:

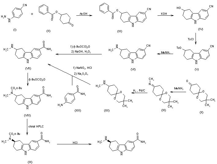
1) The cyclization of 4-hydrazinobenzonitrile (I) with 4-(benzoyloxy)cyclohexanone (II) in refluxing acetic acid gives 3-(benzoyloxy)-1,2,3,4-tetrahydro-9H-carbazole-6-carbonitrile (III), which is hydrolyzed with aqueous KOH to the corresponding alcohol (IV). The tosylation of (IV) with tosyl chloride in pyridine yields the tosylate (V), which by treatment with methylamine in hot ethanol is converted into 3-(methylamino)-1,2,3,4-tetrahydro-9H-carbazole-6-carbonitrile (VI). The partial hydrolysis of the nitrile group with NaOH/H2O2, with previous protection of the amino group with di-tert-butyl dicarbonate, affords 3-(methylamino)-1,2,3,4-tetrahydro-9H-carbazole-6-carboxamide (VII) as a racemic mixture. The reaction of (VII) with di-tert-butyl dicarbonate gives the carbamate (VIII), which is submitted to chiral HPLC in hexane/ethanol giving the (R)-isomer (IX). Finally, this carbamate is hydrolyzed with aqueous HCl/methanol. 2) The optical resolution can also be performed with the benzoyloxycarbonyl derivative of (VII) in a similar way. 3) The optical resolution of (VII) can also be performed directly with (1S)-(+)-camphorsulfonic acid in methanol. 4) The reaction of cyclohexane-1,4-dione mono 2,2-dimethyltrimethylene ketal (X) with methylamine in toluene gives the corresponding methylimine (XI), which is reduced with H2 over Pd/C in ethanol to the expected methylamine (XII). Finally, this compound is cyclized with 4-aminobenzamide (XIII) by treatment first with NaNO2/HCl and then with sodium dithionite affording the racemic mixture (VII) already described.

参考文献No.24204
标题:Enantiomers of carbazole derivs. as 5-HT1-like agonists
作者:Borrett, G.T.; Kitteringham, J.; Porter, R.A.; Shipton, M.R.; Vimal, M.; Young, R.C. (SmithKline Beecham plc)
来源:EP 0674621; JP 1996504790; US 5650426; US 5962501; WO 9414772
合成路线图解说明:

1) The cyclization of 4-hydrazinobenzonitrile (I) with 4-(benzoyloxy)cyclohexanone (II) in refluxing acetic acid gives 3-(benzoyloxy)-1,2,3,4-tetrahydro-9H-carbazole-6-carbonitrile (III), which is hydrolyzed with aqueous KOH to the corresponding alcohol (IV). The tosylation of (IV) with tosyl chloride in pyridine yields the tosylate (V), which by treatment with methylamine in hot ethanol is converted into 3-(methylamino)-1,2,3,4-tetrahydro-9H-carbazole-6-carbonitrile (VI). The partial hydrolysis of the nitrile group with NaOH/H2O2, with previous protection of the amino group with di-tert-butyl dicarbonate, affords 3-(methylamino)-1,2,3,4-tetrahydro-9H-carbazole-6-carboxamide (VII) as a racemic mixture. The reaction of (VII) with di-tert-butyl dicarbonate gives the carbamate (VIII), which is submitted to chiral HPLC in hexane/ethanol giving the (R)-isomer (IX). Finally, this carbamate is hydrolyzed with aqueous HCl/methanol. 2) The optical resolution can also be performed with the benzoyloxycarbonyl derivative of (VII) in a similar way. 3) The optical resolution of (VII) can also be performed directly with (1S)-(+)-camphorsulfonic acid in methanol. 4) The reaction of cyclohexane-1,4-dione mono 2,2-dimethyltrimethylene ketal (X) with methylamine in toluene gives the corresponding methylimine (XI), which is reduced with H2 over Pd/C in ethanol to the expected methylamine (XII). Finally, this compound is cyclized with 4-aminobenzamide (XIII) by treatment first with NaNO2/HCl and then with sodium dithionite affording the racemic mixture (VII) already described.

合成路线图解说明:

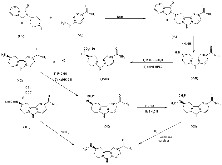
5) The cyclization of 4-phthalimidocyclohexanone (XIV) with 4-hydrazinobenzamide (XV) in relfuxing acetic acid gives 3-phthalimido-1,2,3,4-tetrahydro-9H-carbazole-6-carboxamide (XVI), which is treated with hydrazine in methanol yielding 3-amino-1,2,3,4-tetrahydro-9H-carbazole-6-carboxamide (XVII) as a racemic mixture. Reaction of (XVII) with di-tert-butyl dicarbonate gives the corresponding carbamate that is resolved by chiral HPLC in hexane/ethanol to give (XVIII). The hydrolysis of (XVIII) with HCl in dioxane affords the enantiomerically pure (R)-amine (XIX) (1-3). The reductoalkylation of (XIX) with benzaldehyde and NaBH3CN yields the corresponding benzylamine (XX), which is methylated with formaldehyde and NaBH3CN to the N-benzyl-N-methylamine (XXI). Finally, this compound is debenzylated by hydrogenation as usual. 6) The monomethylation of (XIX) can also be performed by its reaction with carbon disulfide and dicyclohexylcarbodiimide (DCC) in pyridine to give the expected isothiocyanato (XXII), which is finally reduced with NaBH4 in ethanol.

参考文献No.24306
标题:Tetrahydrocarbazole derivs. for the manufacture of a medicament for the treatment of a disease where a 5-HT1-like agonist is indicated
作者:King, F.D.; Gaster, L.M.; Kuamann, A.J.; Young, R.C. (SmithKline Beecham plc)
来源:EP 0603432
合成路线图解说明:

1) The cyclization of 4-hydrazinobenzonitrile (I) with 4-(benzoyloxy)cyclohexanone (II) in refluxing acetic acid gives 3-(benzoyloxy)-1,2,3,4-tetrahydro-9H-carbazole-6-carbonitrile (III), which is hydrolyzed with aqueous KOH to the corresponding alcohol (IV). The tosylation of (IV) with tosyl chloride in pyridine yields the tosylate (V), which by treatment with methylamine in hot ethanol is converted into 3-(methylamino)-1,2,3,4-tetrahydro-9H-carbazole-6-carbonitrile (VI). The partial hydrolysis of the nitrile group with NaOH/H2O2, with previous protection of the amino group with di-tert-butyl dicarbonate, affords 3-(methylamino)-1,2,3,4-tetrahydro-9H-carbazole-6-carboxamide (VII) as a racemic mixture. The reaction of (VII) with di-tert-butyl dicarbonate gives the carbamate (VIII), which is submitted to chiral HPLC in hexane/ethanol giving the (R)-isomer (IX). Finally, this carbamate is hydrolyzed with aqueous HCl/methanol. 2) The optical resolution can also be performed with the benzoyloxycarbonyl derivative of (VII) in a similar way. 3) The optical resolution of (VII) can also be performed directly with (1S)-(+)-camphorsulfonic acid in methanol. 4) The reaction of cyclohexane-1,4-dione mono 2,2-dimethyltrimethylene ketal (X) with methylamine in toluene gives the corresponding methylimine (XI), which is reduced with H2 over Pd/C in ethanol to the expected methylamine (XII). Finally, this compound is cyclized with 4-aminobenzamide (XIII) by treatment first with NaNO2/HCl and then with sodium dithionite affording the racemic mixture (VII) already described.

参考文献No.414585
标题:SB-209509/VML-251
作者:Graul, A.; Leeson, P.; Casta馿r, J.
来源:Drugs Fut 1997,22(7),725
合成路线图解说明:

1) The cyclization of 4-hydrazinobenzonitrile (I) with 4-(benzoyloxy)cyclohexanone (II) in refluxing acetic acid gives 3-(benzoyloxy)-1,2,3,4-tetrahydro-9H-carbazole-6-carbonitrile (III), which is hydrolyzed with aqueous KOH to the corresponding alcohol (IV). The tosylation of (IV) with tosyl chloride in pyridine yields the tosylate (V), which by treatment with methylamine in hot ethanol is converted into 3-(methylamino)-1,2,3,4-tetrahydro-9H-carbazole-6-carbonitrile (VI). The partial hydrolysis of the nitrile group with NaOH/H2O2, with previous protection of the amino group with di-tert-butyl dicarbonate, affords 3-(methylamino)-1,2,3,4-tetrahydro-9H-carbazole-6-carboxamide (VII) as a racemic mixture. The reaction of (VII) with di-tert-butyl dicarbonate gives the carbamate (VIII), which is submitted to chiral HPLC in hexane/ethanol giving the (R)-isomer (IX). Finally, this carbamate is hydrolyzed with aqueous HCl/methanol. 2) The optical resolution can also be performed with the benzoyloxycarbonyl derivative of (VII) in a similar way. 3) The optical resolution of (VII) can also be performed directly with (1S)-(+)-camphorsulfonic acid in methanol. 4) The reaction of cyclohexane-1,4-dione mono 2,2-dimethyltrimethylene ketal (X) with methylamine in toluene gives the corresponding methylimine (XI), which is reduced with H2 over Pd/C in ethanol to the expected methylamine (XII). Finally, this compound is cyclized with 4-aminobenzamide (XIII) by treatment first with NaNO2/HCl and then with sodium dithionite affording the racemic mixture (VII) already described.

合成路线图解说明:

5) The cyclization of 4-phthalimidocyclohexanone (XIV) with 4-hydrazinobenzamide (XV) in relfuxing acetic acid gives 3-phthalimido-1,2,3,4-tetrahydro-9H-carbazole-6-carboxamide (XVI), which is treated with hydrazine in methanol yielding 3-amino-1,2,3,4-tetrahydro-9H-carbazole-6-carboxamide (XVII) as a racemic mixture. Reaction of (XVII) with di-tert-butyl dicarbonate gives the corresponding carbamate that is resolved by chiral HPLC in hexane/ethanol to give (XVIII). The hydrolysis of (XVIII) with HCl in dioxane affords the enantiomerically pure (R)-amine (XIX) (1-3). The reductoalkylation of (XIX) with benzaldehyde and NaBH3CN yields the corresponding benzylamine (XX), which is methylated with formaldehyde and NaBH3CN to the N-benzyl-N-methylamine (XXI). Finally, this compound is debenzylated by hydrogenation as usual. 6) The monomethylation of (XIX) can also be performed by its reaction with carbon disulfide and dicyclohexylcarbodiimide (DCC) in pyridine to give the expected isothiocyanato (XXII), which is finally reduced with NaBH4 in ethanol.

Drug Information Express,Drug R&D,Chemical Database,Patent Search.
Copyright © 2006-2026 Drug Future. All rights reserved.Contact Us