【药物名称】IB-643, SPA-S-753
化学结构式(Chemical Structure):
参考文献No.18099
标题:Partricin derivs
作者:Bruzzese, T.; Signorini, M.; Ottoni, F. (SPA (Societa Prodotti Antibiotici))
来源:EP 0489308; US 5298495
合成路线图解说明:

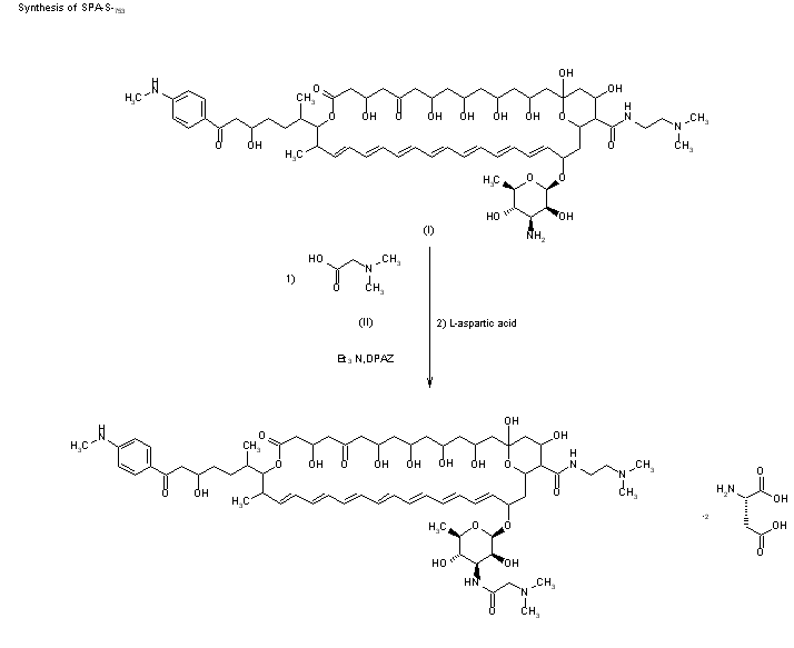
By condensation of partricin A 2-(dimethylamino)ethylamide (I) with N,N-dimethylglycine (II) by means of triethylamine and diphenyl phosphoroazidate (DPAZ) in dimethylacetamide.

参考文献No.416899
标题:SPA-S-753
作者:Casta馿r, J.; Fromtling, R.A.
来源:Drugs Fut 1997,22(8),846
合成路线图解说明:

By condensation of partricin A 2-(dimethylamino)ethylamide (I) with N,N-dimethylglycine (II) by means of triethylamine and diphenyl phosphoroazidate (DPAZ) in dimethylacetamide.

Drug Information Express,Drug R&D,Chemical Database,Patent Search.
Copyright © 2006-2026 Drug Future. All rights reserved.Contact Us