【药物名称】SNC-80
化学结构式(Chemical Structure):
参考文献No.267980
标题:Probes for narcotic receptor mediated phenomena. 19. Synthesis of (+)-4-[(alphaR)-alpha-((2S,5R)-4-allyl-2, 5-dimethyl-1-piperazinyl)-3-methoxybenzyl]-N, N-diethylbenzamide (SNC 80): A highly selective, nonpeptide delta opioid receptor agonist
作者:Calderon, S.N.; Rothman, R.B.; Porreca, F.; Flippen-Anderson, J.L.; McNutt, R.W.; Xu, H.; Smith, L.E.; Bilsky, E.J.; Davis, P.; Rice, K.C.
来源:J Med Chem 1994,14(37),2125
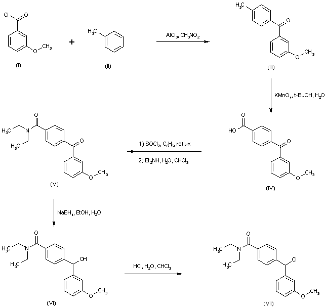
合成路线图解说明:

Friedel-Crafts acylation of toluene (II) with 3-methoxybenzoyl chloride (I) gave benzophenone (III). Subsequent methyl group oxidation using KMnO4 afforded carboxylic acid (IV), which was further converted to amide (V) by activation with SOCl2, followed by treatment with diethylamine. Reduction of the keto group of (V) by means of NaBH4 yielded alcohol (VI). The required benzhydryl chloride (VII) was then prepared by treatment of alcohol (VI) with concentrated HCl.

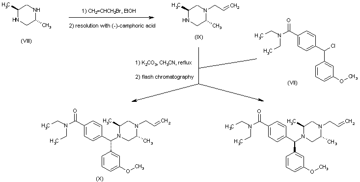
合成路线图解说明:

The alkylation of trans-2,5-dimethylpiperazine (VIII) with allyl bromide gave rise to a racemic mixture of N-allylpiperazines, which was resolved using (-)-camphoric acid. The desired (2R,5S)-piperazine (IX) was then alkylated with benzhydryl chloride (VII) producing a mixture of the title compound and its benzhydryl epimer (X), which were separated by flash column chromatography.

参考文献No.415439
标题:Probes for narcotic receptor mediated phenomena: 23. Synthesis, opioid receptor binding, and bioassay of the highly selective delta agonist (+)-4-[(alphaR)-alpha-((2S,5R)-4-allyl-2, 5-dimethyl-1-piperazinyl)-3-methoxybenzyl]-N, N-diethylbenzamide (SNC 80)
作者:Calderon, S.N.; Rice, K.C.; Rothman, R.B.; Porreca, F.; Flippen-Anderson, J.L.; Kayakiri, H.; Xu, H.; Becketts, K.; Smith, L.E.; Bilsky, E.J.; Davis, P.; Horvath, R.
来源:J Med Chem 1997,40(5),695
合成路线图解说明:

Friedel-Crafts acylation of toluene (II) with 3-methoxybenzoyl chloride (I) gave benzophenone (III). Subsequent methyl group oxidation using KMnO4 afforded carboxylic acid (IV), which was further converted to amide (V) by activation with SOCl2, followed by treatment with diethylamine. Reduction of the keto group of (V) by means of NaBH4 yielded alcohol (VI). The required benzhydryl chloride (VII) was then prepared by treatment of alcohol (VI) with concentrated HCl.

合成路线图解说明:

The alkylation of trans-2,5-dimethylpiperazine (VIII) with allyl bromide gave rise to a racemic mixture of N-allylpiperazines, which was resolved using (-)-camphoric acid. The desired (2R,5S)-piperazine (IX) was then alkylated with benzhydryl chloride (VII) producing a mixture of the title compound and its benzhydryl epimer (X), which were separated by flash column chromatography.

参考文献No.693592
标题:Report from ASCO 2002 - Docetaxel improves survival in node-positive early-stage breast cancer patients
作者:
来源:Oncology (USA) 2002,16(8),1054
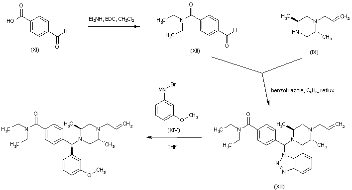
合成路线图解说明:

In a different synthetic strategy, 4-formylbenzoic acid (XI) was first coupled to diethylamine by means of EDC to yield N,N-diethyl 4-formylbenzamide (XII). The intermediate iminium salt produced by condensation between aldehyde (XII) and the chiral piperazine (IX) was then isolated as the benzotriazole adduct (XIII). Displacement of the benzotriazolyl group by the Grignard reagent (XIV) produced the title diastereoisomer as the major product, which was further enriched by recrystallization from acetonitrile/water.

参考文献No.693954
标题:Probes of receptor mediated phenomena 19. Synthesis of (+)-4-[(alphaR)-alpha((2S,5R)-4-allyl-2,5-dimethyl-1-piperazinyl)-3-methoxybenzyl]-N,N-diethylbenzamide (SNC 80): A highly selective, nonpeptide delta opioid receptor agonist
作者:Evans, S.M.; Lenz, G.R.
来源:Chemtracts - Org Chem 1994,7(6),395
合成路线图解说明:

Friedel-Crafts acylation of toluene (II) with 3-methoxybenzoyl chloride (I) gave benzophenone (III). Subsequent methyl group oxidation using KMnO4 afforded carboxylic acid (IV), which was further converted to amide (V) by activation with SOCl2, followed by treatment with diethylamine. Reduction of the keto group of (V) by means of NaBH4 yielded alcohol (VI). The required benzhydryl chloride (VII) was then prepared by treatment of alcohol (VI) with concentrated HCl.

合成路线图解说明:

The alkylation of trans-2,5-dimethylpiperazine (VIII) with allyl bromide gave rise to a racemic mixture of N-allylpiperazines, which was resolved using (-)-camphoric acid. The desired (2R,5S)-piperazine (IX) was then alkylated with benzhydryl chloride (VII) producing a mixture of the title compound and its benzhydryl epimer (X), which were separated by flash column chromatography.

Drug Information Express,Drug R&D,Chemical Database,Patent Search.
Copyright © 2006-2026 Drug Future. All rights reserved.Contact Us