【药物名称】Nelfinavir mesilate, LY-312857, AG-1346(free base), AG-1343, Viracept
化学结构式(Chemical Structure):
参考文献No.28754
标题:HIV protease inhibitors
作者:Dressman, B.A.; Fritz, J.E.; Hammond, M.; Hornback, W.J.; Kaldor, S.W.; Kalish, V.J.; Munroe, J.E.; Reich, S.H.; Tatlock, J.H.; Shepherd, T.A.; Rodriguez, M.J. (Agouron Pharmaceuticals, Inc.)
来源:EP 0889036; JP 1997501443; JP 1999310573; US 5484926; WO 9509843
合成路线图解说明:

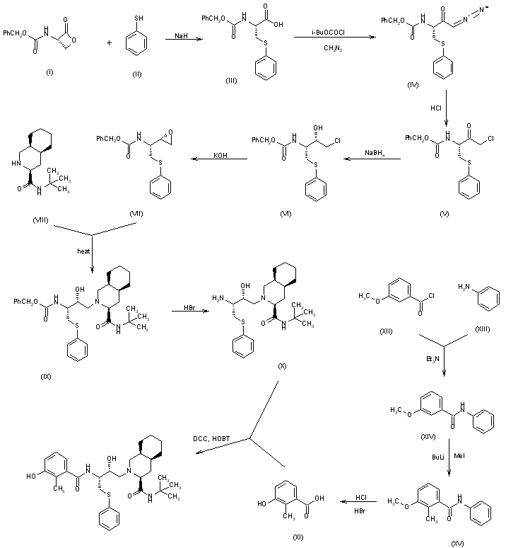
The addition of thiophenol (II) to N-(benzyloxycarbonyl)-L-serine beta-lactone (I) by means of NaH in THF gives N-(benzyloxycarbonyl)-(S-phenyl)-L-cysteine (III), which is treated with isobutyl chloroformate, diazomethane and N-nitro-N-nitrosoguanidine in ethyl acetate/ethyl ether to yield the diazo intermediate (IV). The treatment of (IV) with dry HCl in ethyl ether affords the chloromethyl derivative (V), which is reduced with NaBH4 in THF giving the secondary alcohol (VI). The dehydrochlorination of (VI) with KOH in ethanol yields the corresponding epoxide (VII), which is submitted to ring opening with (3S,4aS,8aS)-N-(tert-butyl)decahydroisoquinoline-3-carboxamide (VIII) in hot isopropanol to afford the condensation product (IX). The deprotection of (IX) with 30% HBr in acetic acid gives compound (X) with a free amino group, which is finally acylated with 3-hydroxy-2-methylbenzoic acid (XI) by means of dicyclohexylcarbodiimide (DCC) and hydroxybenzotriazole (HOBT) in THF. The benzoic acid (XI) has been obtained by the following sequence: The condensation of 3-methoxybenzoyl chloride (XII) with aniline (XIII) gives the corresponding anilide (XIV), which is methylated with butyllithium and methyl iodide in THF yielding 2-methyl-3-methoxybenzanilide (XV). Finally, this compound is treated with 5N HCl and 30% HBr in refluxing acetic acid.

参考文献No.33914
标题: Intermediate and process for making
作者:Jungheim, L.N.; Shepherd, T.A. (Eli Lilly and Company)
来源:WO 9521164
合成路线图解说明:

The addition of thiophenol (II) to N-(benzyloxycarbonyl)-L-serine beta-lactone (I) by means of NaH in THF gives N-(benzyloxycarbonyl)-(S-phenyl)-L-cysteine (III), which is treated with isobutyl chloroformate, diazomethane and N-nitro-N-nitrosoguanidine in ethyl acetate/ethyl ether to yield the diazo intermediate (IV). The treatment of (IV) with dry HCl in ethyl ether affords the chloromethyl derivative (V), which is reduced with NaBH4 in THF giving the secondary alcohol (VI). The dehydrochlorination of (VI) with KOH in ethanol yields the corresponding epoxide (VII), which is submitted to ring opening with (3S,4aS,8aS)-N-(tert-butyl)decahydroisoquinoline-3-carboxamide (VIII) in hot isopropanol to afford the condensation product (IX). The deprotection of (IX) with 30% HBr in acetic acid gives compound (X) with a free amino group, which is finally acylated with 3-hydroxy-2-methylbenzoic acid (XI) by means of dicyclohexylcarbodiimide (DCC) and hydroxybenzotriazole (HOBT) in THF. The benzoic acid (XI) has been obtained by the following sequence: The condensation of 3-methoxybenzoyl chloride (XII) with aniline (XIII) gives the corresponding anilide (XIV), which is methylated with butyllithium and methyl iodide in THF yielding 2-methyl-3-methoxybenzanilide (XV). Finally, this compound is treated with 5N HCl and 30% HBr in refluxing acetic acid.

参考文献No.403043
标题:Nelfinavir Mesylate
作者:Rabasseda, X.; Martel, A.M.; Casta馿r, J.
来源:Drugs Fut 1997,22(4),371
合成路线图解说明:

The addition of thiophenol (II) to N-(benzyloxycarbonyl)-L-serine beta-lactone (I) by means of NaH in THF gives N-(benzyloxycarbonyl)-(S-phenyl)-L-cysteine (III), which is treated with isobutyl chloroformate, diazomethane and N-nitro-N-nitrosoguanidine in ethyl acetate/ethyl ether to yield the diazo intermediate (IV). The treatment of (IV) with dry HCl in ethyl ether affords the chloromethyl derivative (V), which is reduced with NaBH4 in THF giving the secondary alcohol (VI). The dehydrochlorination of (VI) with KOH in ethanol yields the corresponding epoxide (VII), which is submitted to ring opening with (3S,4aS,8aS)-N-(tert-butyl)decahydroisoquinoline-3-carboxamide (VIII) in hot isopropanol to afford the condensation product (IX). The deprotection of (IX) with 30% HBr in acetic acid gives compound (X) with a free amino group, which is finally acylated with 3-hydroxy-2-methylbenzoic acid (XI) by means of dicyclohexylcarbodiimide (DCC) and hydroxybenzotriazole (HOBT) in THF. The benzoic acid (XI) has been obtained by the following sequence: The condensation of 3-methoxybenzoyl chloride (XII) with aniline (XIII) gives the corresponding anilide (XIV), which is methylated with butyllithium and methyl iodide in THF yielding 2-methyl-3-methoxybenzanilide (XV). Finally, this compound is treated with 5N HCl and 30% HBr in refluxing acetic acid.

参考文献No.570067
标题:(1S)-1-[(4R)-2,2-Dimethyl-1,3-dioxolan-4-yl]-2-hydroxyethylammonium benzoate, a versatile building block for chiral 2-aminoalkanols: Concise synthesis and application to nelfinavir, a potent HIV-protease inhibitor
作者:Inaba, T.; Yamada, Y.; Abe, H.; Sagawa, S.; Cho, H.
来源:J Org Chem 2000,65(6),1623
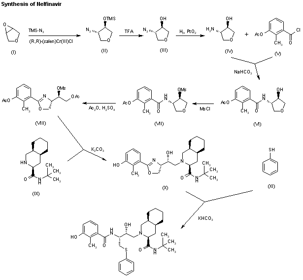
合成路线图解说明:

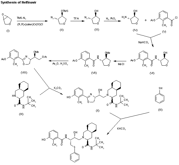
A new concise synthesis of nelfinavir has been reported: The asymmetric desymmetrization of the meso-epoxide (I) by means of azidotrimethylsilane and a chiral (R,R)-(salen)chromium(III) complex as catalyst gives the chiral 3-(trimethylsilyloxy)-4-azidotetrahydrofuran (II), which is deprotected with TFA in methanol yielding the chiral 4-azidotetrahydrofuran-3-ol (III). Hydrogenation of (III) with H2 over PtO2 affords the chiral 4-aminotetrahydrofuran-3-ol (IV), which is condensed with 3-acetoxy-2-methylbenzoyl chloride (V) by means of NaHCO3 in dichloromethane to provide amide (VI). The mesylation of the OH group of (VI) with Ms-Cl gives mesylate (VII), which is isomerized with Ac2O and H2SO4 to yield oxazoline (VIII). Condensation of compound (VIII) with the perhydroisoquinoline-3-carboxamide derivative (IX) by means of K2CO3 in methanol affords the oxazoline-adduct (X). Finally, the oxazoline-ring opening of compound (X) is performed with thiophenol (XI) and KHCO3.

参考文献No.592376
标题:A concise synthesis of the HIV-protease inhibitor nelfinavir via an unusual tetrahydrofuran rearrangement
作者:Busse, J.K.; Borer, B.C.; Zook, S.E.
来源:Tetrahedron Lett 2000,41(36),7017
合成路线图解说明:

A new synthesis of nelfinavir has been described: The protection of the amino group of the dioxolane derivative (I) with benzyl chloroformate and K2CO3 in toluene gives the carbamate (II), which is mesylated with MsCl and triethylamine in toluene yielding the mesylate (III). Reaction of compound (III) with thiophenol (IV) by means of tetrabutylammonium bromide and NaOH in toluene/water affords the thioether (V), which is treated with HCl in methanol/water to provide diol (VI). Protection of the primary OH group of (VI) with p-nitrobenzoyl chloride and 2-picoline yields the p-nitrobenzoate (VII), which is mesylated as before to afford the protected compound (VIII). The reaction of (VIII) with KOH in dioxane gives epoxide (IX), which is condensed with N-tert-butylperhydroisoquinoline-3-carboxamide (X) in refluxing methanol to yield the addition product (XI). This compound (XI) can also be obtained by direct condensation of compound (VIII) with isoquinoline (X) by means of K2CO3 in methanol/water. Removal of the benzyloxycarbonyl group of (XI) with KOH in hot isopropanol affords compound (XII), which is condensed with 3-acetoxy-2-methylbenzoyl chloride (XIII) by means of NaHCO3 in ethyl acetate to give the corresponding amide (XIV). Finally, this compound is deacetylated with ammonia in methanol.

参考文献No.600374
标题:Practical synthesis of enantiopure cyclic 1,2-amino alcohols via catalytic asymmetric ring opening of meso epoxides
作者:Schaus, S.E.; et al.
来源:J Org Chem 1997,62(12),4197
合成路线图解说明:

A new synthesis of nelfinavir has been described: The protection of the amino group of the dioxolane derivative (I) with benzyl chloroformate and K2CO3 in toluene gives the carbamate (II), which is mesylated with MsCl and triethylamine in toluene yielding the mesylate (III). Reaction of compound (III) with thiophenol (IV) by means of tetrabutylammonium bromide and NaOH in toluene/water affords the thioether (V), which is treated with HCl in methanol/water to provide diol (VI). Protection of the primary OH group of (VI) with p-nitrobenzoyl chloride and 2-picoline yields the p-nitrobenzoate (VII), which is mesylated as before to afford the protected compound (VIII). The reaction of (VIII) with KOH in dioxane gives epoxide (IX), which is condensed with N-tert-butylperhydroisoquinoline-3-carboxamide (X) in refluxing methanol to yield the addition product (XI). This compound (XI) can also be obtained by direct condensation of compound (VIII) with isoquinoline (X) by means of K2CO3 in methanol/water. Removal of the benzyloxycarbonyl group of (XI) with KOH in hot isopropanol affords compound (XII), which is condensed with 3-acetoxy-2-methylbenzoyl chloride (XIII) by means of NaHCO3 in ethyl acetate to give the corresponding amide (XIV). Finally, this compound is deacetylated with ammonia in methanol.

参考文献No.633135
标题:A synthesis of the HIV-protease inhibitor nelfinavir from D-tartaric acid
作者:Albizati, K.F.; et al.
来源:Tetrahedron Lett 2001,42(37),6481
合成路线图解说明:

The reaction of D-tartaric acid (I) with 2,2-dimethoxypropane (II) and Ts-OH gives the acetonide (III), which is reduced with NaBH4 in ethanol to yield the diol (IV). The reaction of (IV) with Ts-OH and TEA affords the ditosylate (V), whose acetonide is cleaved with HCl to provide the diol (VI). The reaction of (VI) with SOCl2 in dichloromethane gives the cyclic sulfite (VII), which is oxidized with NaIO4 and RuCl3 to yield the cyclic sulfate (VIII). The reaction of (VIII) with sodium azide in acetone/water affords the azide (IX), which is treated with sulfuric acid in THF/water to provide the azido alcohol (X). The reduction of the azido group of (X) with H2 over Pd/C affords the amino alcohol (XI), which is condensed with 3-acetoxy-2-methylbenzoyl chloride (XII) by means of TEA in THF, providing the intermediate amide (XIII). Spontaneous cyclization of the amide (XIII) under the reaction conditions gives the oxazoline (XIV), which is condensed with the perhydroisoquinoline (XV) by means of K2CO3 in isopropanol to yield the oxazoline intermediate (XVI). Finally, the cleavage of the oxazoline ring of (XVI) by means of thiophenol (XVII) affords the target compound.

合成路线图解说明:

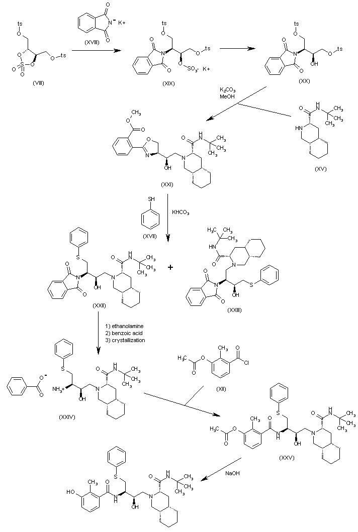
Alternatively, the reaction of the cyclic sulfate (VIII) with potassium phthalimide (XVIII) gives the N-substituted phthalimide (XIX), whose sulfate group is cleaved with sulfuric acid to yield the alcohol (XX). The reaction of (XX) with the perhydroisoquinoline (XV) by means of K2CO3 in acetonitrile/methanol affords the oxazoline (XXI), whose ring is opened with thiophenol (XVII) and KHCO3 in THF, providing a mixture of the two sulfides (XXII) and (XXIII) that are not isolated. The cleavage of the phthalimido group with refluxing ethanolamine followed by a treatment with benzoic acid gives a mixture of ammonium salts that is separated by crystallization, yielding the desired isomer (XXIV). The reaction of (XXIV) with acid chloride (XII) affords the precursor (XXV), which is finally deacetylated with NaOH to provide the target compound.

参考文献No.659672
标题:An enantioselective synthesis of (2S,3R)-(N-benzyloxycarbonyl)amino-1-chloro-4-phenylthiobutan-2-ol, a central intermediate of nelfinavir
作者:Ikunaka, M.; et al.
来源:Org Process Res Dev 2002,6(1),49
合成路线图解说明:

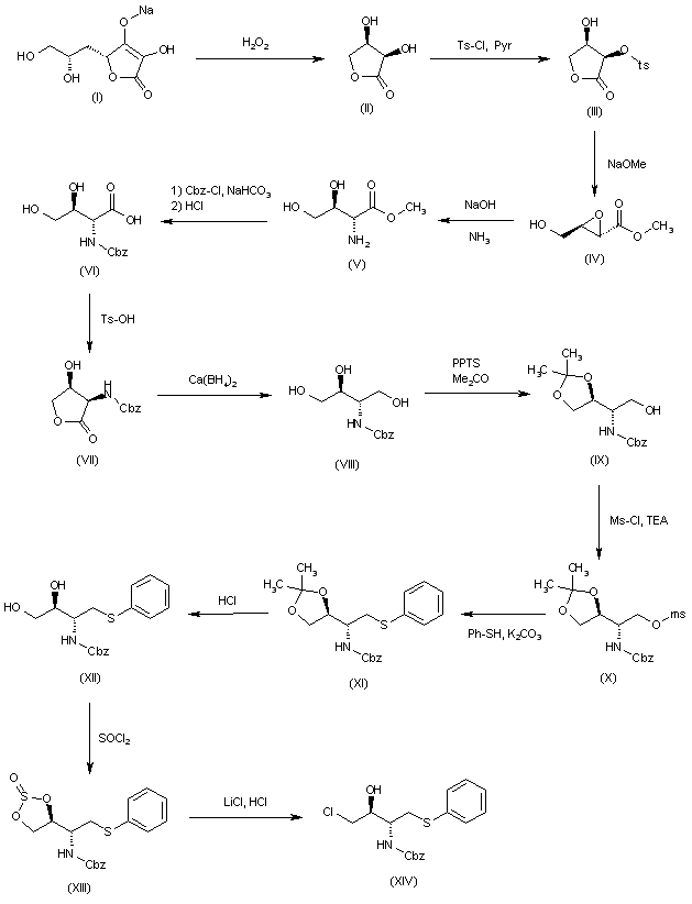
The oxidative cleavage of sodium erythorbate (I) with H2O2 and NaHCO3 gives the chiral dihydroxytetrahydrofuranone (II), which is regioselectively monotosylated with Ts-Cl and pyridine to yield tosylate (III). The cyclization of (III) by means of NaOMe in methanol affords the epoxide (IV), which is opened with NaOH and NH3 in methanol to provide the dihydroxy aminoester (V). The reaction of (V) with Cbz-Cl and NaHCO3, followed by hydrolysis with HCl, gives the N-protected amino acid (VI), which is treated with Ts-OH in water to yield the lactone (VII). The reduction of (VII) with Ca(BH4)2 in methanol affords the trihydroxy compound (VIII), which is acetalyzed with acetone and PPTS to provide the protected alcohol (IX). The reaction of (IX) with Ms-Cl and TEA in toluene gives the mesylate (X), which by reaction with thiophenol and K2CO3 in DMF yields the thioether (XI). The hydrolysis of (XI) with HCl in hot methanol affords the glycol (XII), which is treated with SOCl2 and TEA in dichloromethane to provide the cyclic sulfite (XIII). Finally, this compound is cleaved with LiCl in DMF and hydrolyzed with aqueous HCl to give rise to the target (2S,3R)-3-(benzyloxycarbonylamino)-1-chloro-4-(phenylsulfanyl)-2-butanol (XIV).

参考文献No.704533
标题:A short synthesis of the HIV-protease inhibitor nelfinavir via a diastereoselective addition of ammonia to the alpha,beta-unsaturated sulfoxide derived from (R)-glyceraldehyde acetonide
作者:Ma, D.; et al.
来源:Tetrahedron Lett 2002,43(47),8511
合成路线图解说明:

The reaction of the unsaturated acetonide (I) with ammonia gives a diastereomeric, not separable mixture, of amino derivatives (II) + (III), which is reduced with BF3/Et2O and NaI to yield a mixture of sulfanyl derivatives (IV)+ (V). The condensation of this mixture with 3-acetoxy-2-methylbenzoic acid (VI) by means of EDC and HOBT affords a separable mixture of amides, from which the desired diastereomer (VII) is isolated. The hydrolysis of the acetonide group of (VII) by means of HCl in methanol provide the dihydroxyamide (VIII), which is finally condensed with the perhydroisoquinoline (IX) by means of Tes-Cl and TEA to furnish the target Nelfinavir.

Drug Information Express,Drug R&D,Chemical Database,Patent Search.
Copyright © 2006-2026 Drug Future. All rights reserved.Contact Us