【药物名称】RPR-110754((-)-enantiomer), RPR-110750((+)-enantiomer), RPR-104632
化学结构式(Chemical Structure):
参考文献No.269008
标题:RPR 104632, a novel antagonist at the glycine site of the N-methyl-D-aspartate receptor-channel complex
作者:Doble, A.; Boireau, A.; et al.
来源:Can J Physiol Pharmacol 1994,72(Suppl. 1),333
合成路线图解说明:

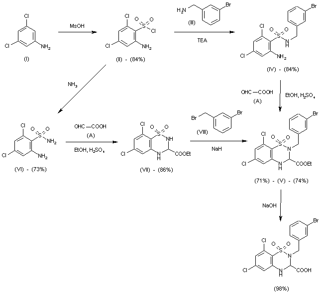
This compound has been obtained by two related ways: 1) The sulfonation of 3,5-dichloroaniline (I) with chlorosulfonic acid gives 2-amino-4,6-dichlorobenzenesulfonyl chloride (II), which is condensed with 3-bromobenzylamine (III) by means of TEA yielding the corresponding sulfonamide (IV). The cyclization of (IV) with glyoxylic acid (A) in ethanol/sulfuric acid affords the esterified benzothiadiazine-3-carboxylate (V), which is finally hydrolyzed with aqueous NaOH. 2) The reaction of sulfonyl chloride (II) with liquid ammonia gives the corresponding sulfonamide (VI), which is cyclized with glyoxylic acid (A) as before yielding the benzothiadiazine (VII). Finally the alkylation of (VII) with 3-bromobenzyl bromide (VIII) by means of NaH affords the already reported benzothiadiazine-3-carboxylate (V). 3) The enantiomers of the title compound have been obtained in optically pure form by preparative liquid chromatography on a Pirkle-type chiral phase column.

参考文献No.284822
标题:Synthesis and SAR of 2H-1,2,4-benzothiadiazine-1, 1-dioxide-3-carboxylic acid derivatives as novel potent glycine antagonists of the NMDA receptor-channel complex
作者:Jimonet, P.; et al.
来源:Bioorg Med Chem Lett 1994,4(23),2735
合成路线图解说明:

This compound has been obtained by two related ways: 1) The sulfonation of 3,5-dichloroaniline (I) with chlorosulfonic acid gives 2-amino-4,6-dichlorobenzenesulfonyl chloride (II), which is condensed with 3-bromobenzylamine (III) by means of TEA yielding the corresponding sulfonamide (IV). The cyclization of (IV) with glyoxylic acid (A) in ethanol/sulfuric acid affords the esterified benzothiadiazine-3-carboxylate (V), which is finally hydrolyzed with aqueous NaOH. 2) The reaction of sulfonyl chloride (II) with liquid ammonia gives the corresponding sulfonamide (VI), which is cyclized with glyoxylic acid (A) as before yielding the benzothiadiazine (VII). Finally the alkylation of (VII) with 3-bromobenzyl bromide (VIII) by means of NaH affords the already reported benzothiadiazine-3-carboxylate (V). 3) The enantiomers of the title compound have been obtained in optically pure form by preparative liquid chromatography on a Pirkle-type chiral phase column.

参考文献No.329162
标题:2H-3,4-Dihydro-1,2,4-benzothiadiazine-1, 1-dioxide-3-carboxylic acid derivatives, a novel family of glycine antagonists of the NMDA receptor channel complex
作者:Mignani, S.; et al.
来源:Drugs Fut 1995,20(11),1133
合成路线图解说明:

This compound has been obtained by two related ways: 1) The sulfonation of 3,5-dichloroaniline (I) with chlorosulfonic acid gives 2-amino-4,6-dichlorobenzenesulfonyl chloride (II), which is condensed with 3-bromobenzylamine (III) by means of TEA yielding the corresponding sulfonamide (IV). The cyclization of (IV) with glyoxylic acid (A) in ethanol/sulfuric acid affords the esterified benzothiadiazine-3-carboxylate (V), which is finally hydrolyzed with aqueous NaOH. 2) The reaction of sulfonyl chloride (II) with liquid ammonia gives the corresponding sulfonamide (VI), which is cyclized with glyoxylic acid (A) as before yielding the benzothiadiazine (VII). Finally the alkylation of (VII) with 3-bromobenzyl bromide (VIII) by means of NaH affords the already reported benzothiadiazine-3-carboxylate (V). 3) The enantiomers of the title compound have been obtained in optically pure form by preparative liquid chromatography on a Pirkle-type chiral phase column.

参考文献No.367302
标题:Neuroprotective effects of RPR 104632, a novel antagonist at the glycine site of the NMDA receptor, in vitro
作者:Burgevin, M.C.; Boireau, A.; Malgouris, C.; Peny, C.; Durand, G.; Bordier, F.; Meunier, M.; Miquet, J.M.; Daniel, M.; Chevet, T.; Jimonet, P.; Mignani, S.; Blanchard, J.C.; Doble, A.
来源:Eur J Pharmacol 1996,300(3),237
合成路线图解说明:

This compound has been obtained by two related ways: 1) The sulfonation of 3,5-dichloroaniline (I) with chlorosulfonic acid gives 2-amino-4,6-dichlorobenzenesulfonyl chloride (II), which is condensed with 3-bromobenzylamine (III) by means of TEA yielding the corresponding sulfonamide (IV). The cyclization of (IV) with glyoxylic acid (A) in ethanol/sulfuric acid affords the esterified benzothiadiazine-3-carboxylate (V), which is finally hydrolyzed with aqueous NaOH. 2) The reaction of sulfonyl chloride (II) with liquid ammonia gives the corresponding sulfonamide (VI), which is cyclized with glyoxylic acid (A) as before yielding the benzothiadiazine (VII). Finally the alkylation of (VII) with 3-bromobenzyl bromide (VIII) by means of NaH affords the already reported benzothiadiazine-3-carboxylate (V). 3) The enantiomers of the title compound have been obtained in optically pure form by preparative liquid chromatography on a Pirkle-type chiral phase column.

参考文献No.803812
标题:Synthesis of potential diuretic agents. II. Dichloro-derivatives of 1,2,4-benzothiadiazine-1,1-dioxide
作者:Shot, J.H.; Biermacher, U.
来源:J Am Chem Soc 1960,21135-38
合成路线图解说明:

This compound has been obtained by two related ways: 1) The sulfonation of 3,5-dichloroaniline (I) with chlorosulfonic acid gives 2-amino-4,6-dichlorobenzenesulfonyl chloride (II), which is condensed with 3-bromobenzylamine (III) by means of TEA yielding the corresponding sulfonamide (IV). The cyclization of (IV) with glyoxylic acid (A) in ethanol/sulfuric acid affords the esterified benzothiadiazine-3-carboxylate (V), which is finally hydrolyzed with aqueous NaOH. 2) The reaction of sulfonyl chloride (II) with liquid ammonia gives the corresponding sulfonamide (VI), which is cyclized with glyoxylic acid (A) as before yielding the benzothiadiazine (VII). Finally the alkylation of (VII) with 3-bromobenzyl bromide (VIII) by means of NaH affords the already reported benzothiadiazine-3-carboxylate (V). 3) The enantiomers of the title compound have been obtained in optically pure form by preparative liquid chromatography on a Pirkle-type chiral phase column.

Drug Information Express,Drug R&D,Chemical Database,Patent Search.
Copyright © 2006-2026 Drug Future. All rights reserved.Contact Us