【药物名称】Capecitabine, R-340, Ro-09-1978, Xeloda
化学结构式(Chemical Structure):
参考文献No.24015
标题:N-Oxycarbonyl substd. 5'-deoxy-5-fluorocytidines
作者:Arasaki, M.; Ishitsuka, H.; Kurama, I.; Miwa, M.; Murasaki, C.; Shimma, N.; Umeda, I. (F. Hoffmann-La Roche AG)
来源:EP 0602454; JP 1994211891; US 5472949
合成路线图解说明:

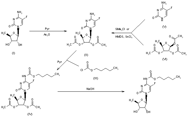
The acetylation of 5'-deoxy-5-fluorocytidine (I) with acetic anhydride in dry pyridine gives 2',3'-di-O-acetyl-5'-deoxy-5-fluorocytidine (II), which is condensed with pentyl chloroformate (III) by means of pyridine in dichromethane yielding 2',3'-di-O-acetyl-5'-deoxy-5-fluoro-N4-(pentyloxycarbonyl)cytidine (IV). Finally, this compound is deacetylated with NaOH in dichloromethane/water. The diacetylated cytidine (II) can also be obtained by condensation of 5-fluorocytosine (V) with 1,2,3-tri-O-acetyl-5-deoxy-beta-D-ribofuranose (VI) by means of trimethylchlorosilane in acetonitrile or HMDS and SnCl4 in dichloromethane..

参考文献No.353124
标题:Capecitabine
作者:Hoshi, A.; Casta馿r, J.
来源:Drugs Fut 1996,21(4),358
合成路线图解说明:

The acetylation of 5'-deoxy-5-fluorocytidine (I) with acetic anhydride in dry pyridine gives 2',3'-di-O-acetyl-5'-deoxy-5-fluorocytidine (II), which is condensed with pentyl chloroformate (III) by means of pyridine in dichromethane yielding 2',3'-di-O-acetyl-5'-deoxy-5-fluoro-N4-(pentyloxycarbonyl)cytidine (IV). Finally, this compound is deacetylated with NaOH in dichloromethane/water. The diacetylated cytidine (II) can also be obtained by condensation of 5-fluorocytosine (V) with 1,2,3-tri-O-acetyl-5-deoxy-beta-D-ribofuranose (VI) by means of trimethylchlorosilane in acetonitrile or HMDS and SnCl4 in dichloromethane..

参考文献No.588397
标题:The design and synthesis of a new tumor-selective fluoropyrimidine carbamate, capecitabine
作者:Shimma, N.; Umeda, I.; Arasaki, M.; Murasaki, C.; Masubuchi, K.; Kohchi, Y.; Miwa, M.; Ura, M.; Sawada, N.; Tahara, H.; Kuruma, I.; Horii, I.; Ishitsuka, H.
来源:Bioorg Med Chem Lett 2000,8(7),1697
合成路线图解说明:

The acetylation of 5'-deoxy-5-fluorocytidine (I) with acetic anhydride in dry pyridine gives 2',3'-di-O-acetyl-5'-deoxy-5-fluorocytidine (II), which is condensed with pentyl chloroformate (III) by means of pyridine in dichromethane yielding 2',3'-di-O-acetyl-5'-deoxy-5-fluoro-N4-(pentyloxycarbonyl)cytidine (IV). Finally, this compound is deacetylated with NaOH in dichloromethane/water. The diacetylated cytidine (II) can also be obtained by condensation of 5-fluorocytosine (V) with 1,2,3-tri-O-acetyl-5-deoxy-beta-D-ribofuranose (VI) by means of trimethylchlorosilane in acetonitrile or HMDS and SnCl4 in dichloromethane..

Drug Information Express,Drug R&D,Chemical Database,Patent Search.
Copyright © 2006-2026 Drug Future. All rights reserved.Contact Us