【药物名称】SKP-450, KR-30450
化学结构式(Chemical Structure):
参考文献No.23693
标题:Spiro-benzopyran derivs. and useful for treating asthma and hypertension
作者:Yoo, S.-E.; Yi, K.Y.; Jeong, N.C.; Suh, J.H.; Kim, S.-J.; Shin, H.-S.; Lee, B.H.; Jung, K.S. (Korea Research Institute of Chemical Technology)
来源:EP 0514935; US 5300511; US 5493029
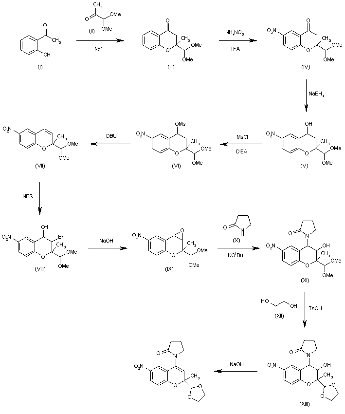
合成路线图解说明:

The cyclization of 2-hydroxyacetophenone (I) with pyruvic aldehyde dimethylacetal (II) by means of pyridine in refluxing toluene gives 2-(dimethoxymethyl)-2-methyl-3,4-dihydro-2H-1-benzopyran-4-one (III), which is nitrated with ammonium nitrate and TFA yielding the 6-nitro derivative (IV). The reduction of (IV) with NaBH4 in methanol affords the benzopyranol (V), which is treated with MsCl and DIEA to provide the mesylate (VI). The reaction of (VI) with DBU in refluxing toluene gives 2-(dimethoxymethyl)-2-methyl-6-nitro-2H-1-benzopyran (VII), which is treated with NBS in DMSO to yield the bromohydrin (VIII). Epoxidation of (VIII) with NaOH in dioxane/water affords the epoxide (IX), which is treated with 2-pyrrolidinone (X) and potassium tert-butoxide in tert-butanol to furnish 1-[2-(dimethoxymethyl)-3-hydroxy-2-methyl-3,4-dihydro-2H-1-benzpyran-4-yl]pyrrolidin-2-one (XI). The trans-acetalization of (XI) with ethylene glycol (XII) and TsOH in refluxing toluene gives the 1,3-dioxolanyl derivative (XIII), which is finally dehydrated to the target compound with NaOH in refluxing dioxane.

Drug Information Express,Drug R&D,Chemical Database,Patent Search.
Copyright © 2006-2026 Drug Future. All rights reserved.Contact Us