【药物名称】RU-24213
化学结构式(Chemical Structure):
参考文献No.800432
标题:Synthesis of study of the dopaminergic activity of di(phenylethyl)amine derivatives
作者:Nedelec, L.; et al.
来源:Eur J Med Chem - Chim Ther 1978,13(6),553-556
合成路线图解说明:

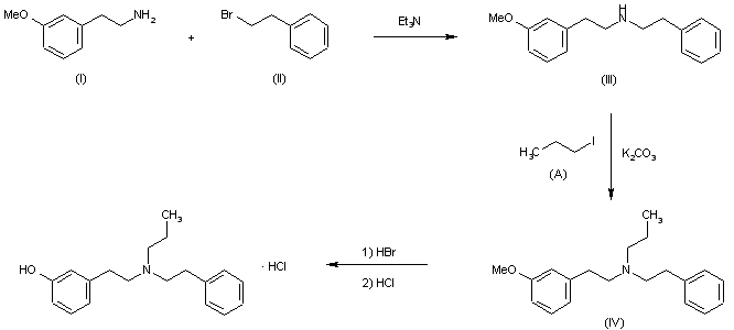
The reaction of 3-methoxyphenylethylamine (I) with phenylethyl bromide (II) in refluxing triethylamine gives 3-methoxy-N-(phenylethyl)phenylethylamine (III), which is alkylated with 1-iodopropane by means of K2CO3 in refluxing acetone yielding 3-methoxy-N-propyl-N-(phenylethyl)phenylethylamine (IV). Finally, this compound is demethylated by treatment with refluxing aqueous 48% HBr and formation of the HCl salt with hydrochloric acid.

参考文献No.800433
标题:RU-24213
作者:Serradell, M.N.; Casta馿r, J.; Blancafort, P.; Owen, R.T.
来源:Drugs Fut 1981,6(4),237
合成路线图解说明:

The reaction of 3-methoxyphenylethylamine (I) with phenylethyl bromide (II) in refluxing triethylamine gives 3-methoxy-N-(phenylethyl)phenylethylamine (III), which is alkylated with 1-iodopropane by means of K2CO3 in refluxing acetone yielding 3-methoxy-N-propyl-N-(phenylethyl)phenylethylamine (IV). Finally, this compound is demethylated by treatment with refluxing aqueous 48% HBr and formation of the HCl salt with hydrochloric acid.

Drug Information Express,Drug R&D,Chemical Database,Patent Search.
Copyright © 2006-2026 Drug Future. All rights reserved.Contact Us