【药物名称】Sibenadet hydrochloride, AR-C68397XX(free base), FPL-68397, AR-C68397AA, Viozan
化学结构式(Chemical Structure):
参考文献No.22682
标题:7-(2-Aminoethyl)-benzothiazolones
作者:Bonnert, R.V.; Brown, R.C.; Cheshire, D.R.; Ince, F. (AstraZeneca AB)
来源:EP 0649418; JP 1996503923; US 5648370; WO 9324473
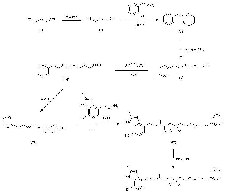
合成路线图解说明:

The reaction of 3-bromopropanol (I) with thiourea in refluxing water gives 3-sulfanylpropanol (II), which is cyclized with 2-phenylacetaldehyde (III) by means of p-toluenesulfonic acid in refluxing toluene yielding 2-benzyl-1,3-oxathiane (IV). The reductive cleavage of (IV) with Ca in liquid ammonia affords 3-(2-phenylethoxy)propanethiol (V), which is condensed with bromoacetic acid by means of NaH in DMF providing 2-[3-(2-phenylethoxy)propylsulfanyl]acetic acid (VI). The oxidation of (VI) with potassium peroxymonosulfate (oxone) gives the corresponding sulfonylacetic acid (VII), which is condensed with benzothiazolone (VIII) by means of DCC, HOBT and triethylamine in DMF yielding the correponding amide (IX). Finally, this compound is reduced with borane/THF yielding the target compound.

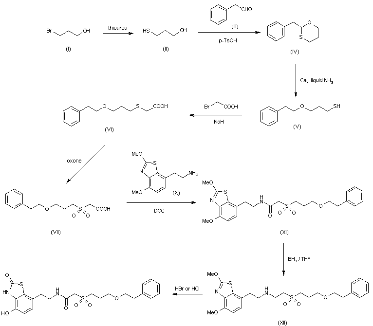
合成路线图解说明:

The reaction of 3-bromopropanol (I) with thiourea in refluxing water gives 3-sulfanylpropanol (II), which is cyclized with 2-phenylacetaldehyde (III) by means of p-toluenesulfonic acid in refluxing toluene yielding 2-benzyl-1,3-oxathiane (IV). The reductive cleavage of (IV) with Ca in liquid ammonia affords 3-(2-phenylethoxy)propanethiol (V), which is condensed with bromoacetic acid by means of NaH in DMF providing 2-[3-(2-phenylethoxy)propylsulfanyl]acetic acid (VI). The oxidation of (VI) with potassium peroxymonosulfate (oxone) gives the corresponding sulfonylacetic acid (VII).The condensation of sulfonylacetic acid (VII) with dimethoxybenzothiazole derivative (X) by means of DCC, HOBT and triethylamine in DMF gives the corresponding amide (XI), which is reduced with borane/THF yielding intermediate (XII). Finally, this compound is demethylated with concentrated HBr or HCl.

参考文献No.479516
标题:Dual D2-receptor and beta2-adrenoceptor agonists for the treatment of airways diseases
作者:Bonnert, R.V.; Brown, R.C.; Cage, P.A.; et al.
来源:15th European Federation for Medicinal Chemistry International Symposium on Medicinal Chemistry (Sept 6 1998, Edinburgh) 1998,Abst P.275
合成路线图解说明:

The reaction of 3-bromopropanol (I) with thiourea in refluxing water gives 3-sulfanylpropanol (II), which is cyclized with 2-phenylacetaldehyde (III) by means of p-toluenesulfonic acid in refluxing toluene yielding 2-benzyl-1,3-oxathiane (IV). The reductive cleavage of (IV) with Ca in liquid ammonia affords 3-(2-phenylethoxy)propanethiol (V), which is condensed with bromoacetic acid by means of NaH in DMF providing 2-[3-(2-phenylethoxy)propylsulfanyl]acetic acid (VI). The oxidation of (VI) with potassium peroxymonosulfate (oxone) gives the corresponding sulfonylacetic acid (VII), which is condensed with benzothiazolone (VIII) by means of DCC, HOBT and triethylamine in DMF yielding the correponding amide (IX). Finally, this compound is reduced with borane/THF yielding the target compound.

合成路线图解说明:

The reaction of 3-bromopropanol (I) with thiourea in refluxing water gives 3-sulfanylpropanol (II), which is cyclized with 2-phenylacetaldehyde (III) by means of p-toluenesulfonic acid in refluxing toluene yielding 2-benzyl-1,3-oxathiane (IV). The reductive cleavage of (IV) with Ca in liquid ammonia affords 3-(2-phenylethoxy)propanethiol (V), which is condensed with bromoacetic acid by means of NaH in DMF providing 2-[3-(2-phenylethoxy)propylsulfanyl]acetic acid (VI). The oxidation of (VI) with potassium peroxymonosulfate (oxone) gives the corresponding sulfonylacetic acid (VII).The condensation of sulfonylacetic acid (VII) with dimethoxybenzothiazole derivative (X) by means of DCC, HOBT and triethylamine in DMF gives the corresponding amide (XI), which is reduced with borane/THF yielding intermediate (XII). Finally, this compound is demethylated with concentrated HBr or HCl.

合成路线图解说明:

The target compound can also be obtained by reductocondensation of benzothiazolone (VIII) with aldehyde (XIII) by means of sodium cynonoborohydride.

参考文献No.479517
标题:Dual D2-receptor and beta2-adrenoceptor agonists for the treatment of airways diseases
作者:Bonnert, R.V.; Brown, R.C.; Chapman, D.; et al.
来源:15th European Federation for Medicinal Chemistry International Symposium on Medicinal Chemistry (Sept 6 1998, Edinburgh) 1998,Abst P.276
合成路线图解说明:

The reaction of 3-bromopropanol (I) with thiourea in refluxing water gives 3-sulfanylpropanol (II), which is cyclized with 2-phenylacetaldehyde (III) by means of p-toluenesulfonic acid in refluxing toluene yielding 2-benzyl-1,3-oxathiane (IV). The reductive cleavage of (IV) with Ca in liquid ammonia affords 3-(2-phenylethoxy)propanethiol (V), which is condensed with bromoacetic acid by means of NaH in DMF providing 2-[3-(2-phenylethoxy)propylsulfanyl]acetic acid (VI). The oxidation of (VI) with potassium peroxymonosulfate (oxone) gives the corresponding sulfonylacetic acid (VII), which is condensed with benzothiazolone (VIII) by means of DCC, HOBT and triethylamine in DMF yielding the correponding amide (IX). Finally, this compound is reduced with borane/THF yielding the target compound.

合成路线图解说明:

The reaction of 3-bromopropanol (I) with thiourea in refluxing water gives 3-sulfanylpropanol (II), which is cyclized with 2-phenylacetaldehyde (III) by means of p-toluenesulfonic acid in refluxing toluene yielding 2-benzyl-1,3-oxathiane (IV). The reductive cleavage of (IV) with Ca in liquid ammonia affords 3-(2-phenylethoxy)propanethiol (V), which is condensed with bromoacetic acid by means of NaH in DMF providing 2-[3-(2-phenylethoxy)propylsulfanyl]acetic acid (VI). The oxidation of (VI) with potassium peroxymonosulfate (oxone) gives the corresponding sulfonylacetic acid (VII).The condensation of sulfonylacetic acid (VII) with dimethoxybenzothiazole derivative (X) by means of DCC, HOBT and triethylamine in DMF gives the corresponding amide (XI), which is reduced with borane/THF yielding intermediate (XII). Finally, this compound is demethylated with concentrated HBr or HCl.

合成路线图解说明:

The target compound can also be obtained by reductocondensation of benzothiazolone (VIII) with aldehyde (XIII) by means of sodium cynonoborohydride.

参考文献No.482590
标题:Dual D2-receptor and beta2-adrenoceptor agonists for the treatment of airway diseases. 1. Discovery and biological evaluation of some 7-(2-aminoethyl)-4-hydroxybenzothiazol-2(3H)-one analogues
作者:Bonnert, R.V.; Brown, R.C.; Chapman, D.; Cheshire, D.R.; Dixon, J.; Ince, F.; Kinchin, E.C.; Lyons, A.J.; Davis, A.M.; Hallam, C.; Harper, S.T.; Unitt, J.F.; Dougall, I.G.; Jackson, D.M.; McKechnie, K.; Young, A.; Simpson, W.T.
来源:J Med Chem 1998,41(25),4915
合成路线图解说明:

The reaction of 3-bromopropanol (I) with thiourea in refluxing water gives 3-sulfanylpropanol (II), which is cyclized with 2-phenylacetaldehyde (III) by means of p-toluenesulfonic acid in refluxing toluene yielding 2-benzyl-1,3-oxathiane (IV). The reductive cleavage of (IV) with Ca in liquid ammonia affords 3-(2-phenylethoxy)propanethiol (V), which is condensed with bromoacetic acid by means of NaH in DMF providing 2-[3-(2-phenylethoxy)propylsulfanyl]acetic acid (VI). The oxidation of (VI) with potassium peroxymonosulfate (oxone) gives the corresponding sulfonylacetic acid (VII), which is condensed with benzothiazolone (VIII) by means of DCC, HOBT and triethylamine in DMF yielding the correponding amide (IX). Finally, this compound is reduced with borane/THF yielding the target compound.

合成路线图解说明:

The reaction of 3-bromopropanol (I) with thiourea in refluxing water gives 3-sulfanylpropanol (II), which is cyclized with 2-phenylacetaldehyde (III) by means of p-toluenesulfonic acid in refluxing toluene yielding 2-benzyl-1,3-oxathiane (IV). The reductive cleavage of (IV) with Ca in liquid ammonia affords 3-(2-phenylethoxy)propanethiol (V), which is condensed with bromoacetic acid by means of NaH in DMF providing 2-[3-(2-phenylethoxy)propylsulfanyl]acetic acid (VI). The oxidation of (VI) with potassium peroxymonosulfate (oxone) gives the corresponding sulfonylacetic acid (VII).The condensation of sulfonylacetic acid (VII) with dimethoxybenzothiazole derivative (X) by means of DCC, HOBT and triethylamine in DMF gives the corresponding amide (XI), which is reduced with borane/THF yielding intermediate (XII). Finally, this compound is demethylated with concentrated HBr or HCl.

参考文献No.567187
标题:Viozan
作者:Casta馿r, J.; Graul, A.
来源:Drugs Fut 2000,25(2),165
合成路线图解说明:

The reaction of 3-bromopropanol (I) with thiourea in refluxing water gives 3-sulfanylpropanol (II), which is cyclized with 2-phenylacetaldehyde (III) by means of p-toluenesulfonic acid in refluxing toluene yielding 2-benzyl-1,3-oxathiane (IV). The reductive cleavage of (IV) with Ca in liquid ammonia affords 3-(2-phenylethoxy)propanethiol (V), which is condensed with bromoacetic acid by means of NaH in DMF providing 2-[3-(2-phenylethoxy)propylsulfanyl]acetic acid (VI). The oxidation of (VI) with potassium peroxymonosulfate (oxone) gives the corresponding sulfonylacetic acid (VII), which is condensed with benzothiazolone (VIII) by means of DCC, HOBT and triethylamine in DMF yielding the correponding amide (IX). Finally, this compound is reduced with borane/THF yielding the target compound.

Drug Information Express,Drug R&D,Chemical Database,Patent Search.
Copyright © 2006-2026 Drug Future. All rights reserved.Contact Us