【药物名称】JTP-4819
化学结构式(Chemical Structure):
参考文献No.23943
标题:Cpd. with prolyl endopeptidase inhibitor activity and pharmaceutical use thereof
作者:Kobayashi, K.; Akamatsu, M.; Yata, S.; Abe, H.; Toide, K.; Kogayu, M.; Uchida, I. (Japan Tobacco Inc.; Welfide Corporation)
来源:EP 0670309; JP 1995512967; US 5536737; WO 9412474
合成路线图解说明:

2) The reaction of tert-butoxycarbonyl-L-proline (XI) with diazomethane and triethylamine in ether gives the diazoketone (XII), which by treatment with acetic acid at 100 C yields the acetoxyketone (XIII). The deprotection of (XIII) with trifluoroacetic acid affords the unprotected alpha-hydroxyketone (XIV), which is condensed with N-(benzylaminecarbonyl)-L-proline (VI) by means of 1-hydroxybenzotriazole (HOBT) giving the acetylated dipeptide analogue (XV). Finally, this compound is deacetylated with K2CO3 in methanol/water.

参考文献No.386439
标题:A novel prolyl endopeptidase inhibitor, JTP-4819, for the treatment of Alzheimer's disease: Review of preclinical pharmacology
作者:Fujiwara, T.; Iwamoto, Y.; Uchida, I.; Shinoda, M.; Abe, H.; Toide, K.
来源:CNS Drug Rev 1996,2(3),343-62
合成路线图解说明:

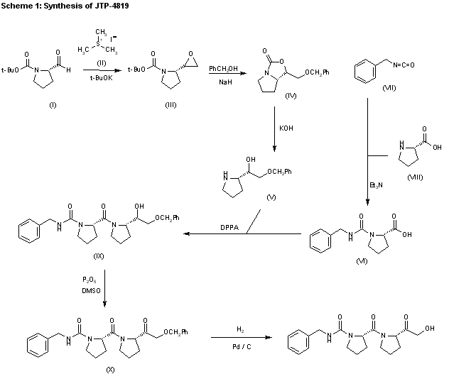
1) The reaction of tert-butoxycarbonyl-L-prolinal (I) with trimethylsulfonium iodide (II) and potassium tert-butoxide gives the epoxide (III), which is treated with benzyl alcohol and NaH to perform epoxide ring opening and simultaneous cyclization to yield the oxazolidinone (IV). The hydrolysis of (IV) with KOH affords compound (V), which is condensed with N-(benzylaminocarbonyl)-L-proline (VI) (prepared in situ with benzyl isocyanate (VII) and L-proline (VIII) in the presence of triethylamine) by means of diphenyl phosphoryl azide (DPPA) giving the dipeptide analogue (IX). The oxidation of (IX) with P2O5 in DMSO yields the benzylated JTP-4819 product (X), which is finally deprotected by hydrogenolysis with H2 over Pd/C.

参考文献No.456259
标题:JTP-4819
作者:Wroblewski, T.; Silvestre, J.S.; Casta馿r, J.
来源:Drugs Fut 1998,23(4),384
合成路线图解说明:

1) The reaction of tert-butoxycarbonyl-L-prolinal (I) with trimethylsulfonium iodide (II) and potassium tert-butoxide gives the epoxide (III), which is treated with benzyl alcohol and NaH to perform epoxide ring opening and simultaneous cyclization to yield the oxazolidinone (IV). The hydrolysis of (IV) with KOH affords compound (V), which is condensed with N-(benzylaminocarbonyl)-L-proline (VI) (prepared in situ with benzyl isocyanate (VII) and L-proline (VIII) in the presence of triethylamine) by means of diphenyl phosphoryl azide (DPPA) giving the dipeptide analogue (IX). The oxidation of (IX) with P2O5 in DMSO yields the benzylated JTP-4819 product (X), which is finally deprotected by hydrogenolysis with H2 over Pd/C.

合成路线图解说明:

2) The reaction of tert-butoxycarbonyl-L-proline (XI) with diazomethane and triethylamine in ether gives the diazoketone (XII), which by treatment with acetic acid at 100 C yields the acetoxyketone (XIII). The deprotection of (XIII) with trifluoroacetic acid affords the unprotected alpha-hydroxyketone (XIV), which is condensed with N-(benzylaminecarbonyl)-L-proline (VI) by means of 1-hydroxybenzotriazole (HOBT) giving the acetylated dipeptide analogue (XV). Finally, this compound is deacetylated with K2CO3 in methanol/water.

Drug Information Express,Drug R&D,Chemical Database,Patent Search.
Copyright © 2006-2026 Drug Future. All rights reserved.Contact Us