【药物名称】
化学结构式(Chemical Structure):
参考文献No.542543
标题:Chemoenzymatic preparation of the novel antifolate thymidylate synthase inhibitor N-(4-{N-[(6S)-2-methyl-4-oxo-3,4,7,8-tetrahydro-6H-cyclopenta[g]quinazolin-6-yl]-N-(prop-2-ynyl)amino}-benzoyl)-L-glutamic acid and its glutamyl cleavage product
作者:Bavetsias, V.; Matusiak, Z.; Melin, C.; Neidle, S.; Marriott, J.H.; Boyle, F.T.; Jackman, A.L.
来源:J Chem Soc - Perkins Trans I 1999,(11),1495
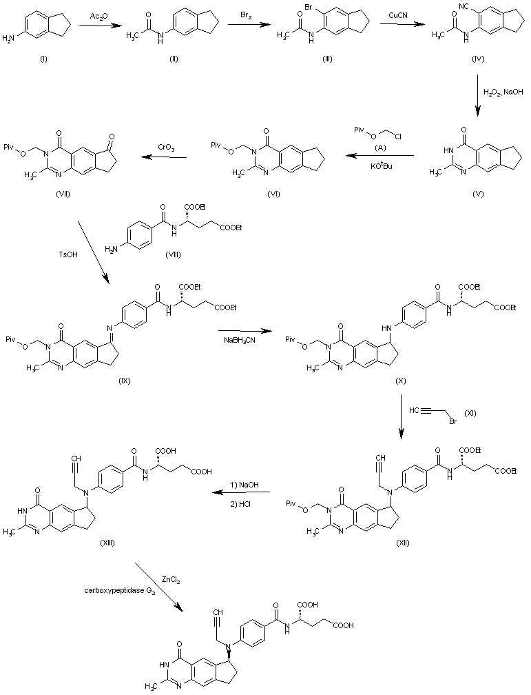
合成路线图解说明:

The reaction of indan-5-amine (I) with acetic anhydride gives the acetamide (II), which is brominated with Br2 in acetic acid yielding the 6-bromo derivative (III). The reaction of (III) with CuCN in 1-methyl-2-pyrrolidone at 125 C affords the corresponding nitrile (IV), which is cyclized by means of H2O2 and NaOH in hot ethanol/water giving the tricyclic ketone (V). The reaction of (V) with chloromethyl pivalate (A) and potassium tert-butoxide in DMSO yields the pivaloyloxymethyl derivative (VI), which is oxidized with CrO3 and tert-butyl peroxide in dichloromethane affording the diketone (VII) (after chromatographic separation of the undesired regioisomer). The condensation of (VII) with N-(4-aminobenzoyl)-Lglutamic acid diethyl ester (VIII) by means of TsOH in refluxing DME gives the imino derivative (IX), which without isolation, is reduced to the secondary amine (X) (as a diastereomeric mixture) with NaBH3CN in methanol/acetic acid. The alkylation of the secondary amine group of (X) with propargyl bromide (XI) and CaCO3 in hot DMA yields the tertiary amine (XII), which is hydrolyzed and deprotected with first with NaOH in methanol/water, and then with aqueous HCl to provide the target compound as a diastereomeric mixture. Finally, this compound is resolved by a treatment with carboxypeptidase G2 and ZnCl2 in water that hydrolyzes selectively the undesired isomer.

Drug Information Express,Drug R&D,Chemical Database,Patent Search.
Copyright © 2006-2026 Drug Future. All rights reserved.Contact Us