【药物名称】BMS-188494
化学结构式(Chemical Structure):
参考文献No.23590
标题:Alpha-phosphorous substd. sulfonate derivs. as squalene synthetase inhibitors
作者:Magnin, D.R.; Biller, S.A.; Dickson, J.K. Jr.; Lawrence, M.R.; Sulsky, R.B. (Bristol-Myers Squibb Co.)
来源:EP 0595635; JP 1994199879; US 5712396
合成路线图解说明:

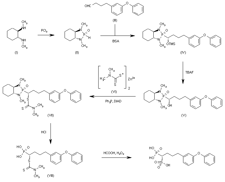
The cyclization of (R,R)-N,N'-dimethylcyclohexane-1,2-diamine (I) with PCl3 by means of triethylamine in THF gives the octahydro-1,3,2-benzodiazaphosphole (II), which is condensed with 4-(3-phenoxyphenyl)butanal (III) by means of bis(trimethylsilyl)acetamide (BSA) in dichloromethane yielding the silylated butanol (IV) as a mixture of diastereomers that is separated by flash chromatography. The deprotection of the desired isomer (IV) with TBAF in THF affords the free butanol (V), which is esterified with zinc N,N-dimethyldithiocarbamate (VI) by means of Ph3P and diisopropyl azodicarboxylate (DIAD) in THF giving the dithiocarbamic ester (VII). The hydrolysis of (VII) with HCl in acetonitrile yields the free phosphonic acid (VIII), which is oxidized with HCO2H and H2O2 in acetic acid affording the target sulfonic acid (IX).

合成路线图解说明:

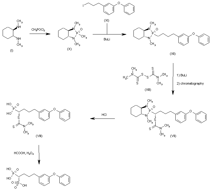
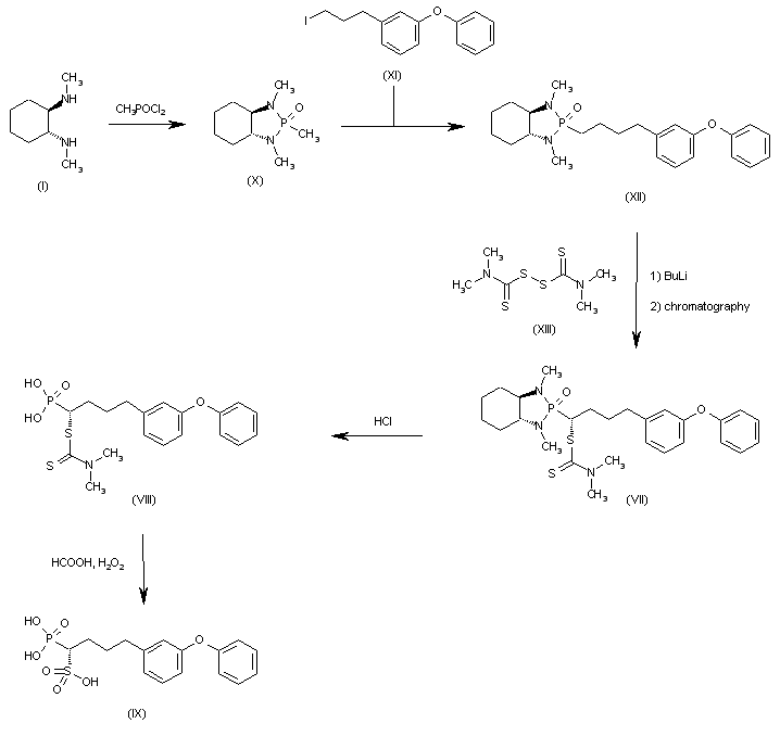
The cyclization of (R,R)-N,N'-dimethylcyclohexane-1,2-diamine (I) with methylphosphonic acid dichloride by means of triethylamine in benzene gives the 1,2,3-trimethyloctahydro-1,3,2-benzodiazaphosphole (X), which is condensed with 3-(3-phenoxyphenyl)propyl iodide (XI) by means of BuLi in THF yielding the 2-[4-(3-phenoxyphenyl)butyl] derivative (XII). The condensation of (XII) with tetramethylthiuram disulfide (XIII) by means of BuLi in THF affords, after chromatographic resolution of the resulting diastereomeric mixture, the previously reported dithiocarbamic ester (VII), which is hydrolyzed to the phosphonic acid (VIII), which is oxidized with HCO2H and H2O2 in acetic acid affording the target sulfonic acid (IX).

合成路线图解说明:

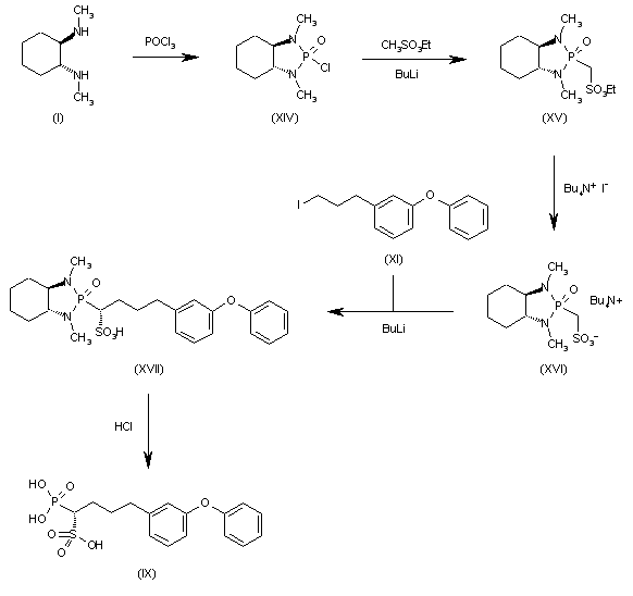
The cyclization of (R,R)-N,N'-dimethylcyclohexane-1,2-diamine (I) with POCl3 by means of triethylamine in THF gives the 2-chlorooctahydro-1,3,2-benzodiazaphophole (XIV), which is condensed with ethyl methanesulfonate by means of BuLi in THF yielding the substituted methanesulfonate (XV). The hydrolysis of (XV) with tetrabutylammonium iodide in THF affords the corresponding tetrabutylammonium sulfonate (XVI), which is then condensed with 3-(3-phenoxyphenyl) propyl iodide (XI) by means of BuLi in THF giving the precursor sulfonic acid (XVII). Finally, this compound is hydrolyzed to the target compound with HCl.

合成路线图解说明:

The cyclization of (R,R)-N,N'-dimethylcyclohexane-1,2-diamine (I) with PCl3 by means of triethylamine in THF gives the octahydro-1,3,2-benzodiazaphosphole (II), which is condensed with 4-(3-phenoxyphenyl)butanal (III) by means of bis(trimethylsilyl)acetamide (BSA) in dichloromethane yielding the silylated butanol (IV) as a mixture of diastereomers that is separated by flash chromatography. The deprotection of the desired isomer (IV) with TBAF in THF affords the free butanol (V), which is esterified with zinc N,N-dimethyldithiocarbamate (VI) by means of Ph3P and diisopropyl azodicarboxylate (DIAD) in THF giving the dithiocarbamic ester (VII). The hydrolysis of (VII) with HCl in acetonitrile yields the free phosphonic acid (VIII), which is oxidized with HCOOH and H2O2 in acetic acid affording the intermediate sulfonic acid (IX).

合成路线图解说明:

The cyclization of (R,R)-N,N'-dimethylcyclohexane-1,2-diamine (I) with methylphosphonic acid dichloride by means of triethylamine in benzene gives the 1,2,3-trimethyloctahydro-1,3,2-benzodiazaphosphole (X), which is condensed with 3-(3-phenoxyphenyl)propyl iodide (XI) by means of BuLi in THF yielding the 2-[4-(3-phenoxyphenyl)butyl] derivative (XII). The condensation of (XII) with tetramethylthiuram disulfide (XIII) by means of BuLi in THF affords, after chromatographic resolution of the resulting diastereomeric mixture, the previously reported dithiocarbamic ester (VII), which is hydrolyzed to the phosphonic acid (VIII), which is oxidized with HCOOH and H2O2 in acetic acid affording the intermediate sulfonic acid (IX).

合成路线图解说明:

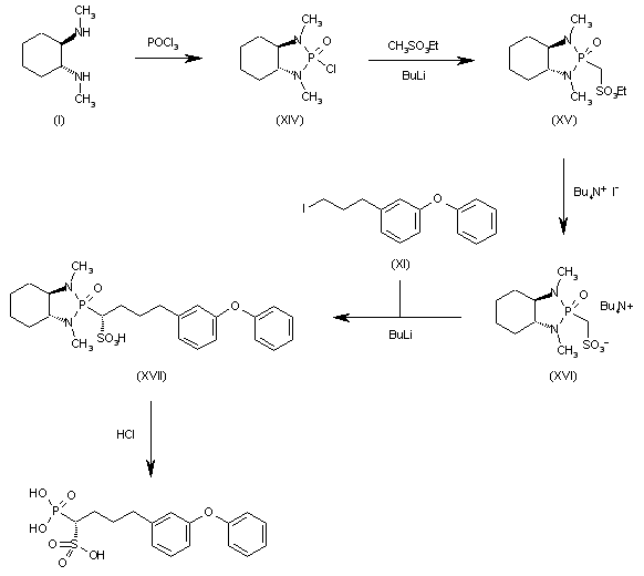
The cyclization of (R,R)-N,N'-dimethylcyclohexane-1,2-diamine (I) with POCl3 by means of triethylamine in THF gives the 2-chlorooctahydro-1,3,2-benzodiazaphophole (XIV), which is condensed with ethyl methanesulfonate by means of BuLi in THF yielding the substituted methanesulfonate (XV). The hydrolysis of (XV) with tetrabutylammonium iodide in THF affords the correponding tetrabutylammonium sulfonate (XVI), which is then condensed with 3-(3-phenoxyphenyl)propyl iodide (XI) by means of BuLi in THF giving the precursor sulfonic acid (XVII). Finally, this compound is hydrolyzed to the intermediate sulfonic acid compound (IX) with HCl.

参考文献No.29540
标题:Phosphonosulfonate squalene synthetase inhibitor salts and method
作者:Pendri, Y.; Chen, C.-P.; Kucera, D.J.; Martinez, E.J.; Pansegrau, P.; Thottathil, J.K.; Timmins, P. (Bristol-Myers Squibb Co.)
来源:CA 2159850; EP 0710665; JP 1996208672
合成路线图解说明:

The cyclization of (R,R)-N,N'-dimethylcyclohexane-1,2-diamine (I) with PCl3 by means of triethylamine in THF gives the octahydro-1,3,2-benzodiazaphosphole (II), which is condensed with 4-(3-phenoxyphenyl)butanal (III) by means of bis(trimethylsilyl)acetamide (BSA) in dichloromethane yielding the silylated butanol (IV) as a mixture of diastereomers that is separated by flash chromatography. The deprotection of the desired isomer (IV) with TBAF in THF affords the free butanol (V), which is esterified with zinc N,N-dimethyldithiocarbamate (VI) by means of Ph3P and diisopropyl azodicarboxylate (DIAD) in THF giving the dithiocarbamic ester (VII). The hydrolysis of (VII) with HCl in acetonitrile yields the free phosphonic acid (VIII), which is oxidized with HCOOH and H2O2 in acetic acid affording the intermediate sulfonic acid (IX).

合成路线图解说明:

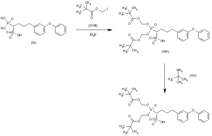
Finally, the target compound has been obtained as follows: The selective esterification of the phosphono group of intermediate (IX) with iodomethyl pivalate (XVIII) by means of triethylamine in DMF gives the sulfonic acid (XIX), which was purified through its calcium salt. Finally, this compound is treated with tert-butylamine in methanol to afford the target salt.

Drug Information Express,Drug R&D,Chemical Database,Patent Search.
Copyright © 2006-2026 Drug Future. All rights reserved.Contact Us