【药物名称】ARL-67085, AR-C67085MX(former code)
化学结构式(Chemical Structure):
参考文献No.487962
标题:Antagonists of the platelet P2T receptor: A novel approach to antithrombotic therapy
作者:Ingall, A.H.; Dixon, J.; Bailey, A.; Coombs, M.E.; Cox, D.; McInally, J.I.; Hunt, S.F.; Kindon, N.D.; Teobald, B.J.; Willis, P.A.; Humphries, R.G.; Leff, P.; Clegg, J.A.; Smith, J.A.; Tomlinson, W.
来源:J Med Chem 1999,42(2),213
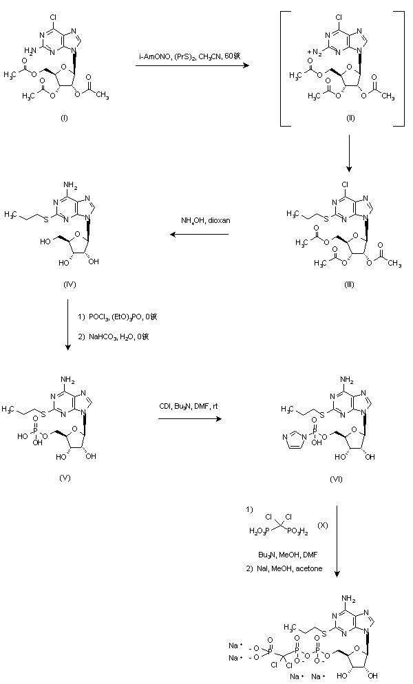
合成路线图解说明:

Diazotization of (I) with isoamyl nitrite in the presence of dipropyl disulfide afforded sulfide (III) through the intermediate diazonium salt (II). Further substitution of the chloro atom of (III) for ammonia provided 2-(propylthio)adenosine (IV). The 5'-hydroxyl group of (IV) was then phosphorylated by reaction with phosphoryl chloride in cold triethyl phosphate followed by aqueous work-up. The resulting 5'-monophosphate (V) was treated with carbonyl diimidazole and tri-n-butylamine to produce the phosphoryl imidazole intermediate (VI), which was finally condensed with dichloromethylenebis(phosphonic acid) (X). The target compound was isolated as the tetrasodium salt upon treatment with NaI in methanol-acetone.

Drug Information Express,Drug R&D,Chemical Database,Patent Search.
Copyright © 2006-2026 Drug Future. All rights reserved.Contact Us