【药物名称】Ivabradine hydrochloride, S-16260-2 (R-isomer), S-16257-2, S-16257, Procoralan
化学结构式(Chemical Structure):
参考文献No.20457
标题:Benzocyclobutyl- or indanyl-alkyl-amino-alkyl substd. 3-benzazepin-2-ones useful in the treatment of cardiovascular diseases
作者:Peglion, J.-L.; Vian, J.; Vilaine, J.-P.; Villeneuve, N.; Janiak, P.; Bidouard, J.-P. (ADIR et Cie.)
来源:EP 0534859; FR 2681862; JP 1993213890; US 5296482
合成路线图解说明:

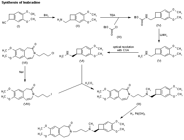
Reduction of 4,5-dimethoxybenzocyclobutane-1-carbonitrile (I) with BH3 in THF gives 4,5-dimethoxybenzocyclobutan-1-ylmethylamine (II), which is treated with ethyl chloroformate (III) and triethylamine in dichloromethane to yield carbamate (IV). Reduction of carbamate (IV) by means of LiAlH4 in THF provides racemic N-(4,5-dimethoxybenzocyclobutan-1-yl)-N-methylamine (V), which is submitted to optical resolution with camphorsulfonic acid (CSA) to afford the desired (S)-enantiomer (VI). Reaction of the known 3-(3-chloropropyl)-7,8-dimethoxy-2,3-dihydro-1H-3-benzazepin-2-one (VII) with NaI in acetone yields the corresponding 3-iodopropyl derivative (VIII), which is condensed with the chiral amine (VI) by means of K2CO3 in acetone to afford adduct (IX). Finally, this compound is hydrogenated with H2 over Pd(OH)2 in AcOH.

参考文献No.742713
标题:Ivabradine Hydrochloride
作者:Sorbera, L.A.; Casta馿r, J.
来源:Drugs Fut 2003,28(7),652
合成路线图解说明:

Reduction of 4,5-dimethoxybenzocyclobutane-1-carbonitrile (I) with BH3 in THF gives 4,5-dimethoxybenzocyclobutan-1-ylmethylamine (II), which is treated with ethyl chloroformate (III) and triethylamine in dichloromethane to yield carbamate (IV). Reduction of carbamate (IV) by means of LiAlH4 in THF provides racemic N-(4,5-dimethoxybenzocyclobutan-1-yl)-N-methylamine (V), which is submitted to optical resolution with camphorsulfonic acid (CSA) to afford the desired (S)-enantiomer (VI). Reaction of the known 3-(3-chloropropyl)-7,8-dimethoxy-2,3-dihydro-1H-3-benzazepin-2-one (VII) with NaI in acetone yields the corresponding 3-iodopropyl derivative (VIII), which is condensed with the chiral amine (VI) by means of K2CO3 in acetone to afford adduct (IX). Finally, this compound is hydrogenated with H2 over Pd(OH)2 in AcOH.

Drug Information Express,Drug R&D,Chemical Database,Patent Search.
Copyright © 2006-2026 Drug Future. All rights reserved.Contact Us