【药物名称】Nortopixantrone hydrochloride, BBR-3438
化学结构式(Chemical Structure):
参考文献No.483859
标题:Synthesis and antitumor evaluation of 2,5-disubstituted-indazolo[4,3-gh]isoquinolin-6(2H)-ones (9-aza-anthrapyrazoles)
作者:Krapcho, A.P.; Menta, E.; Oliva, A.; Di Domenico, R.; Fiocchi, L.; Maresch, M.E.; Gallagher, C.E.; Hacker, M.P.; Beggiolin, G.; Giuliani, F.C.; Pezzoni, G.; Spinelli, S.
来源:J Med Chem 1998,41(27),5429
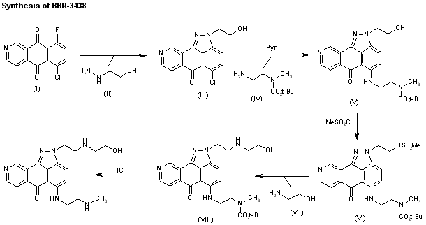
合成路线图解说明:

The synthesis of BBR-3438 has been described: The cyclization of 6-chloro-9-fluorobenz[g]isoquinoline-5,10-quinone (I) with 2-hydroxyethylhydrazine (II) in hot pyridine gives 2-(2-hydroxyethyl)-5-chloroindazolo[4,3-gh]isoquinolin-6(2H)-one (III), which is condensed with N-(2-aminoethyl)-N-methylcarbamic acid tert-butyl ester (IV) in hot pyridine yielding the corresponding 5-[2-[N-(tert-butoxycarbonyl)-N-methylamino]ethylamino] derivative (V). The mesylation of the OH group of (V) with mesyl chloride and triethylamine in dichloromethane affords the mesylate (VI), which is condensed with hot ethanolamine (VII) to give the protected compound (VIII). Finally, this compound is deprotected with HCl yielding BBR-3438.

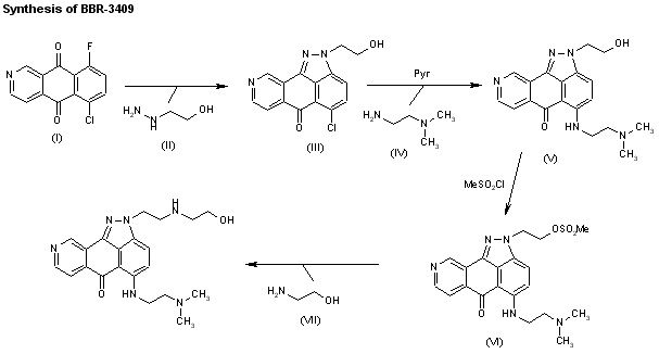
合成路线图解说明:

The synthesis of BBR-3409 has been described: The cyclization of 6-chloro-9-fluorobenz[g]isoquinoline-5,10-quinone (I) with 2-hydroxyethylhydrazine (II) in hot pyridine gives 2-(2-hydroxyethyl)-5-chloroindazolo[4,3-gh]isoquinolin-6(2H)-one (III), which is condensed with N-(2-aminoethyl)-N,N-dimethylamine (IV) in hot pyridine yielding the corresponding compound (V). The mesylation of the OH group of (V) with mesyl chloride and triethylamine in dichloromethane affords the mesylate (VI), which is condensed with hot ethanolamine (VII) to give BBR-3409.

Drug Information Express,Drug R&D,Chemical Database,Patent Search.
Copyright © 2006-2026 Drug Future. All rights reserved.Contact Us