【药物名称】
化学结构式(Chemical Structure):
参考文献No.356991
标题:Synthesis and antitumor evalution of 2, 5-disubstituted-indazolo[4, 3-gh]isoquinoline-6(2H)-ones (9-aza-anthrapyrazoles)
作者:Menta, E.; et al.
来源:211th ACS Natl Meet (March 24-28, New Orleans) 1996,Abst MEDI 076
合成路线图解说明:

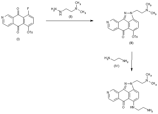
The cyclization of 9-fluoro-6-(tosyloxy)-5,10-dihydrobenzo[g]isoquinoline-5,10-dione (I) with 2-(dimethylamino)ethylhydrazine (II) gives 2-[2-(dimethylamino)ethyl]-5-(tosyloxy)indazolo[4,3-gh]isoquinolin-6(2H)-one (III), which is finally condensed with N,N-dimethylethylene-1,2-diamine (IV) to afford the title compound.

合成路线图解说明:

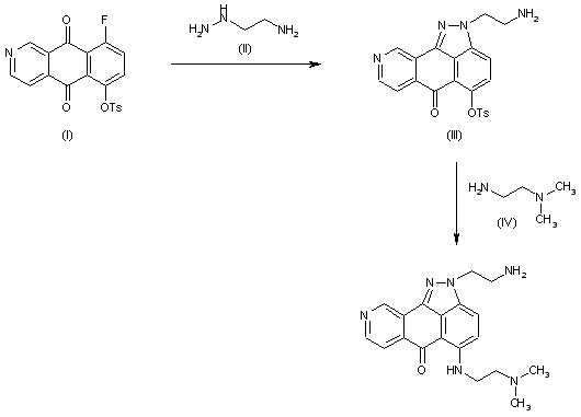
The cyclization of 9-fluoro-6-(tosyloxy)-5,10-dihydrobenzo[g]isoquinoline-5,10-dione (I) with 2-aminoethylhydrazine (II) gives 2-(2-aminoethyl)-5-(tosyloxy)indazolo[4,3-gh] isoquinolin-6(2H)-one (III), which is finally condensed with N,N-dimethylethylene-1,2-diamine (IV) to afford the title compound.

合成路线图解说明:

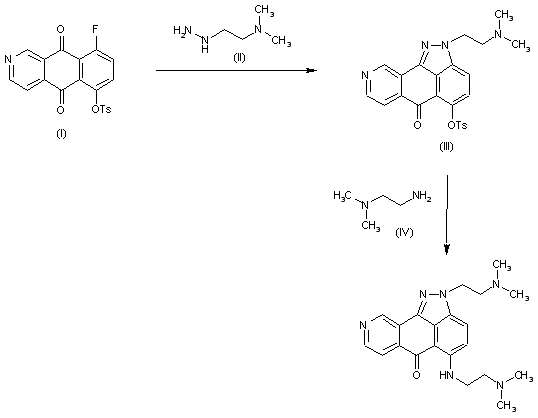
The cyclization of 9-fluoro-6-(tosyloxy)-5,10-dihydrobenzo[g]isoquinoline-5,10-dione (I) with 2-(dimethylamino)ethylhydrazine (II) gives 2-[2-(dimethylamino)ethyl]-5-(tosyloxy)indazolo[4,3-gh]isoquinolin-6(2H)-one (III), which is finally condensed with ethylene-1,2-diamine (IV) to afford the title compound.

参考文献No.418670
标题:Antitumor aza-anthrapyrazoles
作者:Krapcho, A.P.; Menta, E.
来源:Drugs Fut 1997,22(6),641
合成路线图解说明:

The cyclization of 9-fluoro-6-(tosyloxy)-5,10-dihydrobenzo[g]isoquinoline-5,10-dione (I) with 2-(dimethylamino)ethylhydrazine (II) gives 2-[2-(dimethylamino)ethyl]-5-(tosyloxy)indazolo[4,3-gh]isoquinolin-6(2H)-one (III), which is finally condensed with N,N-dimethylethylene-1,2-diamine (IV) to afford the title compound.

合成路线图解说明:

The cyclization of 9-fluoro-6-(tosyloxy)-5,10-dihydrobenzo[g]isoquinoline-5,10-dione (I) with 2-aminoethylhydrazine (II) gives 2-(2-aminoethyl)-5-(tosyloxy)indazolo[4,3-gh] isoquinolin-6(2H)-one (III), which is finally condensed with N,N-dimethylethylene-1,2-diamine (IV) to afford the title compound.

合成路线图解说明:

The cyclization of 9-fluoro-6-(tosyloxy)-5,10-dihydrobenzo[g]isoquinoline-5,10-dione (I) with 2-(dimethylamino)ethylhydrazine (II) gives 2-[2-(dimethylamino)ethyl]-5-(tosyloxy)indazolo[4,3-gh]isoquinolin-6(2H)-one (III), which is finally condensed with ethylene-1,2-diamine (IV) to afford the title compound.

参考文献No.803813
标题:6,9-Disubstituted benz[g]isoquinoline-5,10-diones, key intermediates for the synthesis of antitumor 2,5-disubstituted-indazolo[4,3-gh]isoquinoline-6(2H)-ones (9-aza-anthrapyrazoles)
作者:Gallagher, C.E.; Maresch, M.J.; Krapcho, A.P.; et al.
来源:25th Natl Med Chem Symp (June 18, Univ. Michigan, Ann Arbor) 1996,Abst. 15
合成路线图解说明:

The cyclization of 9-fluoro-6-(tosyloxy)-5,10-dihydrobenzo[g]isoquinoline-5,10-dione (I) with 2-(dimethylamino)ethylhydrazine (II) gives 2-[2-(dimethylamino)ethyl]-5-(tosyloxy)indazolo[4,3-gh]isoquinolin-6(2H)-one (III), which is finally condensed with N,N-dimethylethylene-1,2-diamine (IV) to afford the title compound.

合成路线图解说明:

The cyclization of 9-fluoro-6-(tosyloxy)-5,10-dihydrobenzo[g]isoquinoline-5,10-dione (I) with 2-aminoethylhydrazine (II) gives 2-(2-aminoethyl)-5-(tosyloxy)indazolo[4,3-gh] isoquinolin-6(2H)-one (III), which is finally condensed with N,N-dimethylethylene-1,2-diamine (IV) to afford the title compound.

合成路线图解说明:

The cyclization of 9-fluoro-6-(tosyloxy)-5,10-dihydrobenzo[g]isoquinoline-5,10-dione (I) with 2-(dimethylamino)ethylhydrazine (II) gives 2-[2-(dimethylamino)ethyl]-5-(tosyloxy)indazolo[4,3-gh]isoquinolin-6(2H)-one (III), which is finally condensed with ethylene-1,2-diamine (IV) to afford the title compound.

Drug Information Express,Drug R&D,Chemical Database,Patent Search.
Copyright © 2006-2026 Drug Future. All rights reserved.Contact Us