【药物名称】UK-147535
化学结构式(Chemical Structure):
参考文献No.23467
标题:Benzenealkanoic acids for cardiovascular diseases
作者:Dickinson, R.P.; Dack, K.N.; Steele, J. (Pfizer Inc.)
来源:EP 0662950; JP 1996502046; US 5618941; WO 9406761
合成路线图解说明:

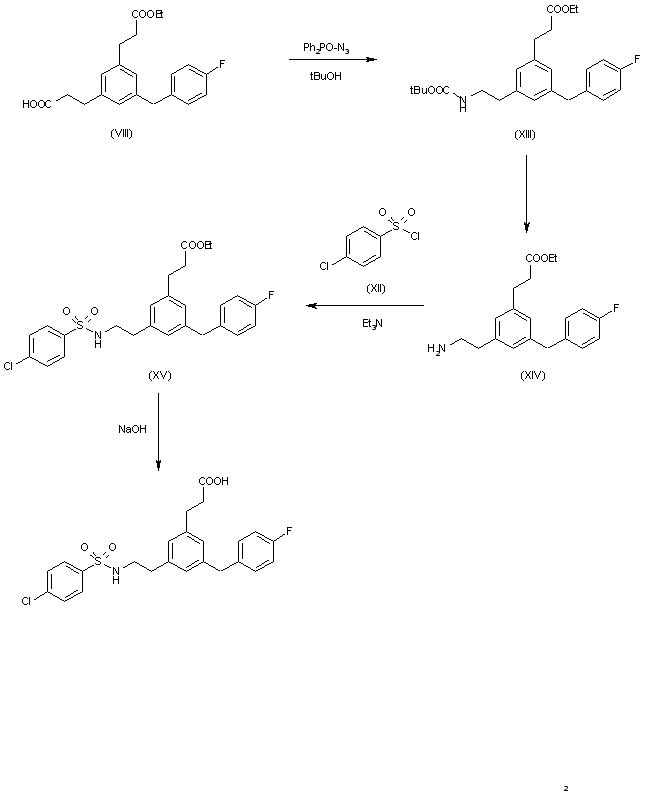
The reaction of monoacid (VIII) with diphenylphosphoryl azide and triethylamine in refluxing tert-butanol gives the tert-butoxycarbonyl aminoester (XIII), which is deprotected with trifluoroacetic acid to yield the aminoester (XIV). The sulfonation of (XIV) with 4-chlorophenylsulfonyl chloride (XII) and triethylamine in dichloromethane affords the sulfonamido ester (XV), which is finally hydrolyzed with NaOH in refluxing methanol.

参考文献No.484426
标题:Thromboxane modulating agents. 4. Design and synthesis of 3-(2-[((4-chlorophenyl)sulfonyl)amino]ethyl)benzenepropanoic acid derivatives as potent thromboxane receptor antagonists
作者:Dack, K.N.; Dickinson, R.P.; Long, C.J.; Steele, J.
来源:Bioorg Med Chem Lett 1998,8(16),2061
合成路线图解说明:

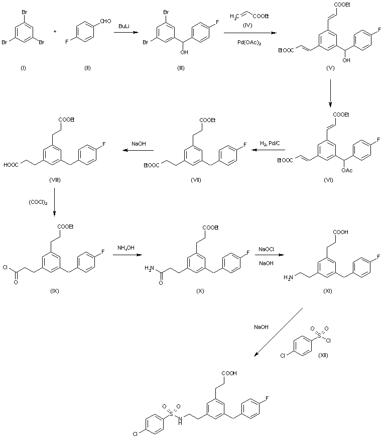
The reaction of 1,3,5-tribromobenzene (I) with 4-fluorobenzaldehyde (II) by means of BuLi in ethyl ether gives the benzhydrol (III), which is condensed with ethyl acrylate (IV) by means of palladium acetate and tri o-tolylphosphine in refluxing acetonitrile yielding the phenylenebisacrylate (V). The acetylation of (V) with acetic anhydride and DMAP in dichloromethane affords the acetate (VI), which is hydrogenated with H2 over Pd/C in ethyl acetate providing the bispropanoate (VII). Selective hydrolysis of (VII) with NaOH in ethanol gives the monoacid (VIII), which is treated with oxalyl chloride in dichloromethane yielding the monoacyl chloride (IX). The reaction of (IX) with NH4OH affords the corresponding amide (X), which is treated with NaOCl and NaOH to perform degradation of the amide group and simultaneous hydrolysis of the ester group providing the amino acid (XI). Finally, this compound is sulfonated with 4-chlorophenylsulfonyl chloride (XII) and NaOH.

参考文献No.567267
标题:A scalable synthesis of the thromboxane receptor antagonist 3-(3-[2-(4-chlorobenzenesulfonamido)ethyl]-5-(4-fluorobenzyl)phenyl]propionic acid via a regioselective heck cross-coupling strategy
作者:Waite, D.C.; Mason, C.P.
来源:Org Process Res Dev 1998,2(2),116
合成路线图解说明:

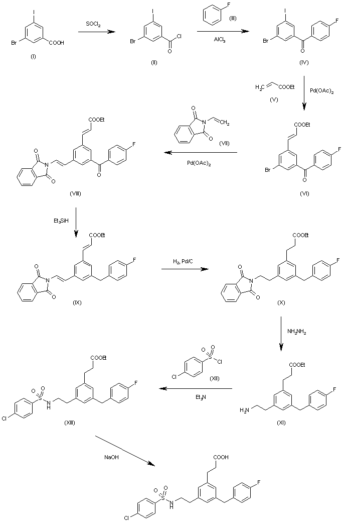
The reaction of 3-bromo-5-iodobenzoic acid (I) with SOCl2 gives the corresponding acyl chloride (II), which by a Friedel-Crafts condensation with fluorobenzene (II) by means of AlCl3 in refluxing dichloromethane yields the benzophenone (IV). The condensation of (IV) with ethyl acrylate (V) by means of palladium acetate and triethylamine in refluxing acetonitrile affords the cinnamic acid derivative (VI), which is condensed with N-vinylphthalimide (VII) by means of palladium acetate and diisopropylamine in refluxing xylene to provide the unsaturated adduct (VIII). The reduction of the carbonyl group of (VIII) with triethylsilane and TFA gives the diphenylmethane derivative (IX), which is hydrogenated with H2 over Pd/C in ethyl acetate to yield the saturated diphenylmethane derivative (X). Elimination of the phthalimido group of (X) with hydrazine affords (XI) with a primary amino group. that is sulfonated with 4-chlorophenylsulfonyl chloride (XII) and triethylamine in THF to provide the sulfonamide (XIII). Finally, the ester group of (XIII) is hydrolyzed with aqueous NaOH.

Drug Information Express,Drug R&D,Chemical Database,Patent Search.
Copyright © 2006-2026 Drug Future. All rights reserved.Contact Us