【药物名称】MDL-10222F(undefined isomer), MDL-101986
化学结构式(Chemical Structure):
参考文献No.23468
标题:Non-metabolizable clomiphene analogs for treatment of tamoxifen-resistant tumors
作者:Bitonti, A.J.; Baumann, R.J. (Merrell Pharmaceuticals, Inc.)
来源:EP 0660821; JP 1997500863; WO 9406762
合成路线图解说明:

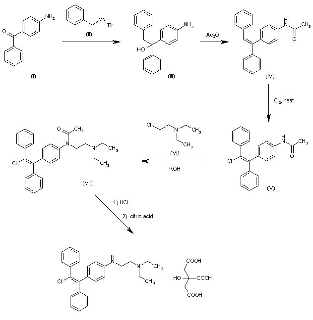
The reaction of 4-aminobenzophenone (I) with benzylmagnesium bromide (II) in ether gives the carbinol (III), which by reaction with acetic anhydride in hot pyridine yields the olefinic acetamide (IV). The chlorination of (IV) with Cl2 in CCl4 followed by refluxing in the same solvent affords the chlorovinyl acetamide (V), which is alkylated at the amidic nitrogen with 2-chloroethyl(diethyl)amine (VI) by means of KOH in refluxing acetone giving the disubstituted acetamide (VII). Finally, the deacetylation of (VII) with hot 10% HCl and salification with citric acid affords the target compound.

参考文献No.37948
标题:Method of using triaryl-ethylene derivs. in the treatment and prevention of osteoporosis
作者:Bitonti, A.J. (Aventis Pharmaceuticals, Inc.)
来源:US 5691384; WO 9616646
合成路线图解说明:

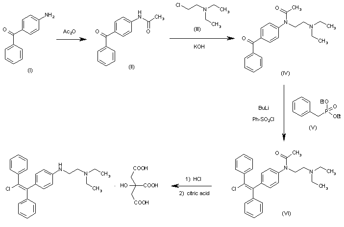
The acetylation of 4-aminobenzophenone (I) with acetic anhydride and TEA in dichloromethane gives the acetamide (II), which is N-alkylated with 2-chlorethyl(diethyl)amine (III) by means of KOH in refluxing acetone yielding the disubstituted acetamide (IV). The reaction of the ketonic group of (IV) with benzylphosphonic acid diethyl ester (V) by means of butyllithium and benzenesulfonyl chloride in THF affords the chlorovinyl acetamide (VI), which is finally hydrolyzed with HCl and salified with citric acid to provide the target compound.

Drug Information Express,Drug R&D,Chemical Database,Patent Search.
Copyright © 2006-2026 Drug Future. All rights reserved.Contact Us