【药物名称】Elisartan potassium, HN-65021
化学结构式(Chemical Structure):
参考文献No.23683
标题:Acylals of imidazole-5-carboxylic acid derivs., and their use as angiotensin (II) inhibitors
作者:Binder, D.; Weinberger, J.
来源:EP 0535420; US 5298519
合成路线图解说明:

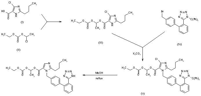
The esterification of 2-butyl-4-chloro-1H-imidazole-5-carboxylic acid (I) with 1-chloroethyl ethyl carbonate (II) by means of sodium silanolate in HMPT gives the corresponding ester (III), which is condensed with 5-[4'-(bromomethyl)biphenyl-2-yl]-1-(triphenylmethyl)tetrazole (IV) by means of K2CO3 in hot DMF, yielding the tritylated final product (V). Finally, this compound is deprotected in refluxing methanol.

参考文献No.341994
标题:Elisartan Potassium
作者:Mealy, N.; Casta馿r, J.
来源:Drugs Fut 1996,21(2),139
合成路线图解说明:

The esterification of 2-butyl-4-chloro-1H-imidazole-5-carboxylic acid (I) with 1-chloroethyl ethyl carbonate (II) by means of sodium silanolate in HMPT gives the corresponding ester (III), which is condensed with 5-[4'-(bromomethyl)biphenyl-2-yl]-1-(triphenylmethyl)tetrazole (IV) by means of K2CO3 in hot DMF, yielding the tritylated final product (V). Finally, this compound is deprotected in refluxing methanol.

Drug Information Express,Drug R&D,Chemical Database,Patent Search.
Copyright © 2006-2026 Drug Future. All rights reserved.Contact Us