【药物名称】S-2474
化学结构式(Chemical Structure):
参考文献No.23582
标题:Benzylidene derivs.
作者:Matsumoto, S.; Tsuri, T.; Inagaki, M.; Jyoyama, H. (Shionogi & Co. Ltd.)
来源:EP 0595546; JP 1994211819; US 5418230
合成路线图解说明:

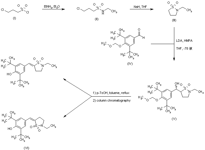
The intermediate gamma-sultam (III) was prepared by condensation of 3-chloropropylsulfonyl chloride (I) with ethylamine, followed by cyclization of the resulting chloro sulfonamide (II) under basic conditions. Condensation of 3,5-di-tert-butyl-4-(methoxymethoxy)benzaldehyde (IV) with sultam (III) in the presence of LDA produced the aldol addition compound (V). Then, acid-promoted dehydration and simultaneous methoxymethyl group deprotection gave rise to a mixture of the desired E-benzylidene sultam and the corresponding Z-isomer (VII), which were separated by column chromatography.

参考文献No.35880
标题:Method for producing benzylidene derivs.
作者:Haga, N.; Inagaki, M.; Matsumoto, S.; Kamata, S. (Shionogi & Co. Ltd.)
来源:EP 0626377
合成路线图解说明:

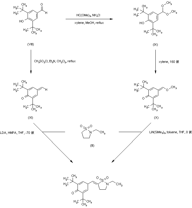
An improved synthesis has been reported. Acid-catalyzed ketalization of aldehyde (VIII) with trimethyl orthoformate provided the dimethyl acetal (IX) which, upon thermal decomposition in refluxing xylene, gave rise to the alpha-methoxy methylenequinone derivative (X). This was then condensed with the lithio derivative of sultam (III) to form selectively the desired E-adduct. In an analogous procedure, aldehyde (VIII) was converted to the chloromethylene compound (XI) with methanesulfonyl chloride and triethylamine in refluxing CH2Cl2. Condensation of (XI) with the lithiated sultam (III) furnished the desired E-benzylidene sultam.

参考文献No.438327
标题:A novel antiarthritic agent S-2474: Synthesis and pharmacological effects
作者:Inagaki, M.; Tsuri, T.; Jyoyama, H.; yamada, K.; Ono, T.; Matsumoto, S.
来源:17th Symp Med Chem (Nov 19 1997, Tsukuba) 1997,Abst 2-P-25
合成路线图解说明:

The intermediate gamma-sultam (III) was prepared by condensation of 3-chloropropylsulfonyl chloride (I) with ethylamine, followed by cyclization of the resulting chloro sulfonamide (II) under basic conditions. Condensation of 3,5-di-tert-butyl-4-(methoxymethoxy)benzaldehyde (IV) with sultam (III) in the presence of LDA produced the aldol addition compound (V). Then, acid-promoted dehydration and simultaneous methoxymethyl group deprotection gave rise to a mixture of the desired E-benzylidene sultam and the corresponding Z-isomer (VII), which were separated by column chromatography.

参考文献No.574776
标题:Novel antiarthritic agents with 1,2-isothiazolidine-1,1-dioxide (gamma-sultam) skeleton: Cytokine suppressive dual inhibitors of cyclooxygenase-2 and 5-lipoxygenase
作者:Inagaki, M.; Tsuri, T.; Jyoyama, H.; Ono, T.; Yamada, K.; Kobayashi, M.; Hori, Y.; Arimura, A.; Yasui, K.; Ohno, K.; Kakudo, S.; Koizumi, K.; Suzuki, R.; Kawai, S.; Kato, M.; Matsumoto, S.
来源:J Med Chem 2000,43(10),2040
合成路线图解说明:

The intermediate gamma-sultam (III) was prepared by condensation of 3-chloropropylsulfonyl chloride (I) with ethylamine, followed by cyclization of the resulting chloro sulfonamide (II) under basic conditions. Condensation of 3,5-di-tert-butyl-4-(methoxymethoxy)benzaldehyde (IV) with sultam (III) in the presence of LDA produced the aldol addition compound (V). Then, acid-promoted dehydration and simultaneous methoxymethyl group deprotection gave rise to a mixture of the desired E-benzylidene sultam and the corresponding Z-isomer (VII), which were separated by column chromatography.

参考文献No.671910
标题:Highly E-selective and effective synthesis of antiarthritic drug candidate S-2474 using quinone methide derivatives
作者:Inagaki, M.; Haga, N.; Kobayashi, M.; Ohta, N.; Kamata, S.; Tsuri, T.
来源:J Org Chem 2002,67(1),125
合成路线图解说明:

An improved synthesis has been reported. Acid-catalyzed ketalization of aldehyde (VIII) with trimethyl orthoformate provided the dimethyl acetal (IX) which, upon thermal decomposition in refluxing xylene, gave rise to the alpha-methoxy methylenequinone derivative (X). This was then condensed with the lithio derivative of sultam (III) to form selectively the desired E-adduct. In an analogous procedure, aldehyde (VIII) was converted to the chloromethylene compound (XI) with methanesulfonyl chloride and triethylamine in refluxing CH2Cl2. Condensation of (XI) with the lithiated sultam (III) furnished the desired E-benzylidene sultam.

Drug Information Express,Drug R&D,Chemical Database,Patent Search.
Copyright © 2006-2026 Drug Future. All rights reserved.Contact Us