【药物名称】TA-993
化学结构式(Chemical Structure):
参考文献No.423320
标题:Synthesis and biological evaluation of alkyl, alkoxy, alkylthio, or amino-substituted 2,3-dihydro-1, 5-benzothiazepin-4(5H)-ones
作者:Inoue, H.; Konda, M.; Hashiyama, T.; Otsuka, H.; Watanabe, A.; Gaino, M.; Takahashi, K.; Date, T.; Okamura, K.; Takeda, M.; Narita, H.; Murata, S.; Odawara, A.; Sasaki, H.; Nagao, T.
来源:Chem Pharm Bull 1997,45(6),1008
合成路线图解说明:

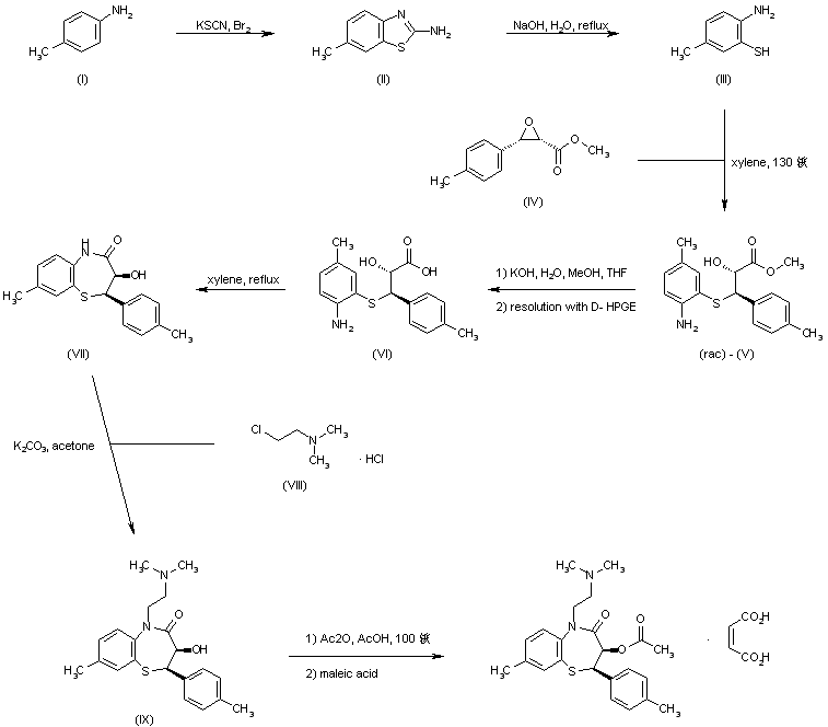
The required 2-amino-5-methylthiophenol (III) was obtained by basic hydrolysis of the aminobenzothiazole (II), which was prepared from p-toluidine (I) and in situ generated thiocyanogen. Reaction of thiophenol (III) with the arylglycidic ester (IV) produced the racemic threo-amino ester (V). After basic hydrolysis of the ester group of (V), the resultant amino acid was resolved by means of D-(4-hydroxyphenyl)glycine methyl ester. The required amino acid enantiomer (VI) was then cyclized to lactam (VII) by heating in xylene with azeotropic removal of water. N-alkylation of benzothiazepinone (VII) with 2-(dimethylamino)ethyl chloride (VIII) provided (IX). The secondary alcohol of (IX) was esterified with acetic anhydride, and the resultant compound was finally isolated as the corresponding maleate salt.

Drug Information Express,Drug R&D,Chemical Database,Patent Search.
Copyright © 2006-2026 Drug Future. All rights reserved.Contact Us