【药物名称】Rosiglitazone maleate, SB-206846((-)-enantiomer, free base), SB-210232((+)-enantiomer, free base), BRL-49653C, Venvia, Nyracta, Avandia
化学结构式(Chemical Structure):
参考文献No.9950
标题:Substd. Thiazolidine-dione derivs
作者:Hindley, R.M. (SmithKline Beecham plc)
来源:AU 8821738; EP 0306228; EP 0842925; JP 1989131169; JP 1997183726; JP 1997183771; JP 1997183772; JP 1998194970; JP 1998194971; US 5002953; US 5194443; US 5232925; US 5646169
合成路线图解说明:

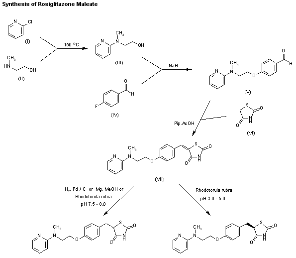
The reaction of 2-chloropyridine (I) with 2-(methyl-amino)ethanol (II) by heating at 150 C gives 2-[N-methyl-N-(2-pyridyl)amino]ethanol (III), which is condensed with 4-fluorobenzaldehyde (IV) by means of NaH in DMF, yielding 4-[2-[N-methyl-N-(2-pyridyl)amino]-ethoxy]benzaldehyde (V) (1-3). The reaction of (V) with thiazolidine-2,4-dione (VI) by means of piperidinium acetate in refluxing toluene affords 5-[4-[2-[N-methyl-N-(2-pyridyl)- amino]ethoxy]benzylidene]thiazolidine-2,4-dione (VII). Finally, this compound is reduced with H2 over Pd/C (1), Mg in methanol (2,3) or biocatalytically by incubation with whole cells of the yeast Rhodotorula rubra CBS 6469 at pH 7.5-8.0 (4-6). Under acidic conditions, pH 3.0-5.0, this microbial biotransformation is enantioselective, giving the (+)-(R)-enantiomer of rosiglitazone.

参考文献No.37439
标题:Process for the preparation of pharmaceutically active thiazolidine or oxazolidine cpds. by a yeast reductase
作者:Hindley, R.M.; Woroniecki, S.R. (SmithKline Beecham plc)
来源:WO 9310254
合成路线图解说明:

The reaction of 2-chloropyridine (I) with 2-(methyl-amino)ethanol (II) by heating at 150 C gives 2-[N-methyl-N-(2-pyridyl)amino]ethanol (III), which is condensed with 4-fluorobenzaldehyde (IV) by means of NaH in DMF, yielding 4-[2-[N-methyl-N-(2-pyridyl)amino]-ethoxy]benzaldehyde (V) (1-3). The reaction of (V) with thiazolidine-2,4-dione (VI) by means of piperidinium acetate in refluxing toluene affords 5-[4-[2-[N-methyl-N-(2-pyridyl)- amino]ethoxy]benzylidene]thiazolidine-2,4-dione (VII). Finally, this compound is reduced with H2 over Pd/C (1), Mg in methanol (2,3) or biocatalytically by incubation with whole cells of the yeast Rhodotorula rubra CBS 6469 at pH 7.5-8.0 (4-6). Under acidic conditions, pH 3.0-5.0, this microbial biotransformation is enantioselective, giving the (+)-(R)-enantiomer of rosiglitazone.

参考文献No.60239
标题:Process for the preparation of rosiglitazone maleate
作者:Vyas, S.K. (Torrent Pharmaceuticals Ltd.)
来源:US 2002115866; US 6515132; WO 0251823
合成路线图解说明:

The reaction of 2-chloropyridine (I) with 2-(methyl-amino)ethanol (II) by heating at 150 C gives 2-[N-methyl-N-(2-pyridyl)amino]ethanol (III), which is condensed with 4-fluorobenzaldehyde (IV) by means of NaH in DMF, yielding 4-[2-[N-methyl-N-(2-pyridyl)amino]-ethoxy]benzaldehyde (V) (1-3). The reaction of (V) with thiazolidine-2,4-dione (VI) by means of piperidinium acetate in refluxing toluene affords 5-[4-[2-[N-methyl-N-(2-pyridyl)- amino]ethoxy]benzylidene]thiazolidine-2,4-dione (VII). Finally, this compound is reduced with H2 over Pd/C (1), Mg in methanol (2,3) or biocatalytically by incubation with whole cells of the yeast Rhodotorula rubra CBS 6469 at pH 7.5-8.0 (4-6). Under acidic conditions, pH 3.0-5.0, this microbial biotransformation is enantioselective, giving the (+)-(R)-enantiomer of rosiglitazone.

参考文献No.258946
标题:The synthesis of BRL 49653 - A novel and potent antihyperglycaemic agent
作者:Smith, S.A.; Thurlby, P.L.; Cantello, B.C.C.; Haigh, D.; Cawthorne, M.A.; Hindley, R.M.
来源:Bioorg Med Chem Lett 1994,4(10),1181-4
合成路线图解说明:

The reaction of 2-chloropyridine (I) with 2-(methyl-amino)ethanol (II) by heating at 150 C gives 2-[N-methyl-N-(2-pyridyl)amino]ethanol (III), which is condensed with 4-fluorobenzaldehyde (IV) by means of NaH in DMF, yielding 4-[2-[N-methyl-N-(2-pyridyl)amino]-ethoxy]benzaldehyde (V) (1-3). The reaction of (V) with thiazolidine-2,4-dione (VI) by means of piperidinium acetate in refluxing toluene affords 5-[4-[2-[N-methyl-N-(2-pyridyl)- amino]ethoxy]benzylidene]thiazolidine-2,4-dione (VII). Finally, this compound is reduced with H2 over Pd/C (1), Mg in methanol (2,3) or biocatalytically by incubation with whole cells of the yeast Rhodotorula rubra CBS 6469 at pH 7.5-8.0 (4-6). Under acidic conditions, pH 3.0-5.0, this microbial biotransformation is enantioselective, giving the (+)-(R)-enantiomer of rosiglitazone.

参考文献No.284843
标题:[[*-(Heterocyclylamino)alkoxy]benzyl]-2,4-thiazolidinediones as potent antihyperglycemic agents
作者:Cantello, BB.C.C.; Cawthorne, M.A.; Cottam, G.P.; Duff, P.T.; Haigh, D.; Hindley, R.M.; Lister, C.A.; Smith, S.A.; Thurlby, P.L.
来源:J Med Chem 1994,37(23),3977-85
合成路线图解说明:

The reaction of 2-chloropyridine (I) with 2-(methyl-amino)ethanol (II) by heating at 150 C gives 2-[N-methyl-N-(2-pyridyl)amino]ethanol (III), which is condensed with 4-fluorobenzaldehyde (IV) by means of NaH in DMF, yielding 4-[2-[N-methyl-N-(2-pyridyl)amino]-ethoxy]benzaldehyde (V) (1-3). The reaction of (V) with thiazolidine-2,4-dione (VI) by means of piperidinium acetate in refluxing toluene affords 5-[4-[2-[N-methyl-N-(2-pyridyl)- amino]ethoxy]benzylidene]thiazolidine-2,4-dione (VII). Finally, this compound is reduced with H2 over Pd/C (1), Mg in methanol (2,3) or biocatalytically by incubation with whole cells of the yeast Rhodotorula rubra CBS 6469 at pH 7.5-8.0 (4-6). Under acidic conditions, pH 3.0-5.0, this microbial biotransformation is enantioselective, giving the (+)-(R)-enantiomer of rosiglitazone.

参考文献No.470598
标题:Facile biocatalytic reduction of the carbon-carbon double bond of 5-benzylidenethiazolidine-2,4-diones. Synthesis of (?-5-(4-(2-[methyl(2-pyridyl)amino]ethoxy)benzyl)-thiazolidine-2,4-dione (BRL 49653), its (R)-(?-enantiomer and analogues
作者:Cantello, B.C.C.; Haigh, D.; Eggleston, D.S.; Jennings, K.R.; Heath, C.M.; Sime, J.T.; Haltiwanger, R.C.; Woroniecki, S.R.; Hindley, R.M.
来源:J Chem Soc - Perkins Trans I 1994,22(22),3319-24
合成路线图解说明:

The reaction of 2-chloropyridine (I) with 2-(methyl-amino)ethanol (II) by heating at 150 C gives 2-[N-methyl-N-(2-pyridyl)amino]ethanol (III), which is condensed with 4-fluorobenzaldehyde (IV) by means of NaH in DMF, yielding 4-[2-[N-methyl-N-(2-pyridyl)amino]-ethoxy]benzaldehyde (V) (1-3). The reaction of (V) with thiazolidine-2,4-dione (VI) by means of piperidinium acetate in refluxing toluene affords 5-[4-[2-[N-methyl-N-(2-pyridyl)- amino]ethoxy]benzylidene]thiazolidine-2,4-dione (VII). Finally, this compound is reduced with H2 over Pd/C (1), Mg in methanol (2,3) or biocatalytically by incubation with whole cells of the yeast Rhodotorula rubra CBS 6469 at pH 7.5-8.0 (4-6). Under acidic conditions, pH 3.0-5.0, this microbial biotransformation is enantioselective, giving the (+)-(R)-enantiomer of rosiglitazone.

参考文献No.471185
标题:Rosiglitazone Maleate
作者:Sorbera, L.A.; Rabasseda, X.; Leeson,P.A.
来源:Drugs Fut 1998,23(9),977
合成路线图解说明:

The reaction of 2-chloropyridine (I) with 2-(methyl-amino)ethanol (II) by heating at 150 C gives 2-[N-methyl-N-(2-pyridyl)amino]ethanol (III), which is condensed with 4-fluorobenzaldehyde (IV) by means of NaH in DMF, yielding 4-[2-[N-methyl-N-(2-pyridyl)amino]-ethoxy]benzaldehyde (V) (1-3). The reaction of (V) with thiazolidine-2,4-dione (VI) by means of piperidinium acetate in refluxing toluene affords 5-[4-[2-[N-methyl-N-(2-pyridyl)- amino]ethoxy]benzylidene]thiazolidine-2,4-dione (VII). Finally, this compound is reduced with H2 over Pd/C (1), Mg in methanol (2,3) or biocatalytically by incubation with whole cells of the yeast Rhodotorula rubra CBS 6469 at pH 7.5-8.0 (4-6). Under acidic conditions, pH 3.0-5.0, this microbial biotransformation is enantioselective, giving the (+)-(R)-enantiomer of rosiglitazone.

参考文献No.616662
标题:Rosiglitazone maleate (BRL 49653-C); the preparation of [14C] and [3H] isotopomers
作者:Kirefu, T.; Landwater, S.W.; Latter, A.J.; Lawrie, K.W.M.; Morecombe, D.J.; Willcocks, K.
来源:J Label Compd Radiopharm 2001,44(5),329
合成路线图解说明:

The bromination of rosiglitazone (I) with NBS in hot acetic acid gives the dibromo compound (II), which is the hydrogenated with tritium over Pd/BaSO4 in DMF/TEA to yield the target labeled compound.

合成路线图解说明:

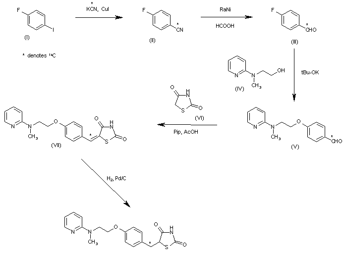
The reaction of 4-fluoroiodobenzene (I) with 14C-KCN and CuI in refluxing DMF gives 4-fluorobenzonitrile (II), which is reduced with HCO2H and RaNi in DMF to yield 4-fluorobenzaldehyde (III). The condensation of (III) with the substituted ethanolamine (IV) by means of tBu-OK in DMF affords 4-[2-[N-methyl-N-(2-pyridyl)amino]ethoxy]benzaldehyde (V), which is condensed with thiazolidine-2,4-dione (VI) by means of piperidine acetate in refluxing toluene to provide the benzylidene-thiazolidinedione (VII). Finally this compound is hydrogenated with H2 over Pd/C in DMF to furnish the target labeled compound.

参考文献No.802796
标题:Whole cell biotransformation of 5-(4-(2-(2-pyridyl)methylamino)ethoxy)benzylidenethiazolidine-2,4-dione to its benzyl derivative using a yeast reductase
作者:Jones, J.J.; Verrall, M.S.; Heath, C.M.; Imrie, R.C.; Rees, M.J.; Robins, K.G.
来源:J Chem Tech Biotech 1997,68324-30
合成路线图解说明:

The reaction of 2-chloropyridine (I) with 2-(methyl-amino)ethanol (II) by heating at 150 C gives 2-[N-methyl-N-(2-pyridyl)amino]ethanol (III), which is condensed with 4-fluorobenzaldehyde (IV) by means of NaH in DMF, yielding 4-[2-[N-methyl-N-(2-pyridyl)amino]-ethoxy]benzaldehyde (V) (1-3). The reaction of (V) with thiazolidine-2,4-dione (VI) by means of piperidinium acetate in refluxing toluene affords 5-[4-[2-[N-methyl-N-(2-pyridyl)- amino]ethoxy]benzylidene]thiazolidine-2,4-dione (VII). Finally, this compound is reduced with H2 over Pd/C (1), Mg in methanol (2,3) or biocatalytically by incubation with whole cells of the yeast Rhodotorula rubra CBS 6469 at pH 7.5-8.0 (4-6). Under acidic conditions, pH 3.0-5.0, this microbial biotransformation is enantioselective, giving the (+)-(R)-enantiomer of rosiglitazone.

Drug Information Express,Drug R&D,Chemical Database,Patent Search.
Copyright © 2006-2026 Drug Future. All rights reserved.Contact Us